mp-6179/KLiSO4/anharm

Harmonic properties

../../_images/fig_bandos_pr6297.png

(a) Phonon dispersion with participation ratio and DOS

../../_images/fig_thermo6297.png

(b) Thermodynamic properties

Grüneisen parameters

../../_images/fig_gru_all2568.png

(a) Grüneisen parameters

../../_images/fig_gruneisen2568.png

(b) Phonon dispersion with Grüneisen parameters

Thermal conductivity

3-phonon (LASSO) — q-mesh: 14x14x8, supercell: 2x2x2

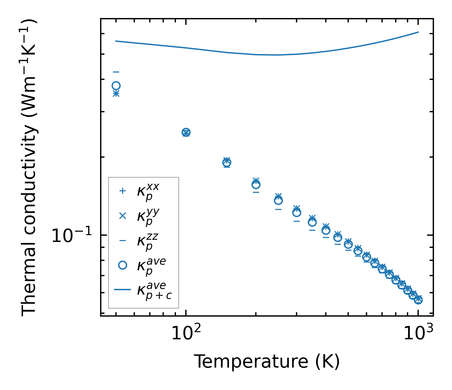
../../_images/fig_kappa4885.png

(a) Temperature-dependent lattice thermal conductivity

../../_images/fig_kappa_vs_grain_size2603.png

(b) Peierls lattice thermal conductivity w.r.t grain size

Phonon lifetime and scattering rates

../../_images/fig_lifetime2549.png

(a) Phonon lifetime due to phonon-phonon scattering

../../_images/fig_scat_rates2548.png

(b) Phonon scattering rates

Cumulative and spectral thermal conductivity

../../_images/fig_cumu_frequency2549.png

(a) Spectral and cumulative thermal conductivity w.r.t frequency

../../_images/fig_cumu_mfp2548.png

(b) Spectral and cumulative thermal conductivity w.r.t MFP

Force constants

../../_images/fig_fc26087.png

(a) Force constants w.r.t atomic distance

Summary

../../_images/fig_kappa4886.png

(a) Temperature-dependent lattice thermal conductivity

../../_images/fig_times11413.png

(b) Computation time