mp-6419/CaSi2B2O8/anharm

Harmonic properties

../../_images/fig_bandos_pr6407.png

(a) Phonon dispersion with participation ratio and DOS

../../_images/fig_thermo6407.png

(b) Thermodynamic properties

Grüneisen parameters

../../_images/fig_gru_all2609.png

(a) Grüneisen parameters

../../_images/fig_gruneisen2609.png

(b) Phonon dispersion with Grüneisen parameters

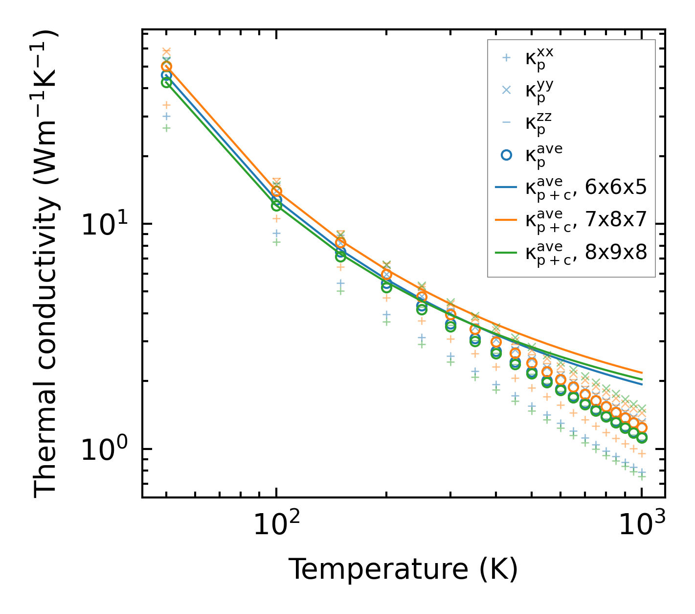
Thermal conductivity

3-phonon (LASSO) — q-mesh: 8x9x8, supercell: 1x2x1

../../_images/fig_kappa4961.png

(a) Temperature-dependent lattice thermal conductivity

../../_images/fig_kappa_vs_grain_size2644.png

(b) Peierls lattice thermal conductivity w.r.t grain size

Phonon lifetime and scattering rates

../../_images/fig_lifetime2587.png

(a) Phonon lifetime due to phonon-phonon scattering

../../_images/fig_scat_rates2586.png

(b) Phonon scattering rates

Cumulative and spectral thermal conductivity

../../_images/fig_cumu_frequency2587.png

(a) Spectral and cumulative thermal conductivity w.r.t frequency

../../_images/fig_cumu_mfp2586.png

(b) Spectral and cumulative thermal conductivity w.r.t MFP

Force constants

../../_images/fig_fc26197.png

(a) Force constants w.r.t atomic distance

Summary

../../_images/fig_kappa4962.png

(a) Temperature-dependent lattice thermal conductivity

../../_images/fig_times11545.png

(b) Computation time