mp-6457/La2MgTiO6/anharm

Harmonic properties

../../_images/fig_bandos_pr6426.png

(a) Phonon dispersion with participation ratio and DOS

../../_images/fig_thermo6426.png

(b) Thermodynamic properties

Grüneisen parameters

../../_images/fig_gru_all2620.png

(a) Grüneisen parameters

../../_images/fig_gruneisen2620.png

(b) Phonon dispersion with Grüneisen parameters

Thermal conductivity

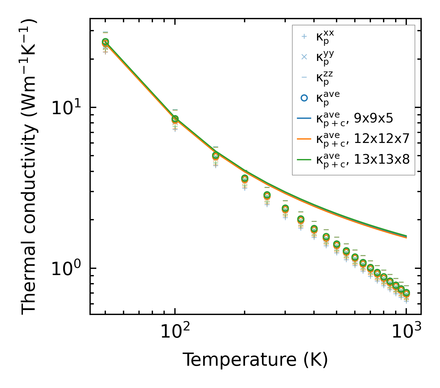
3-phonon (LASSO) — q-mesh: 13x13x8, supercell: 2x2x1

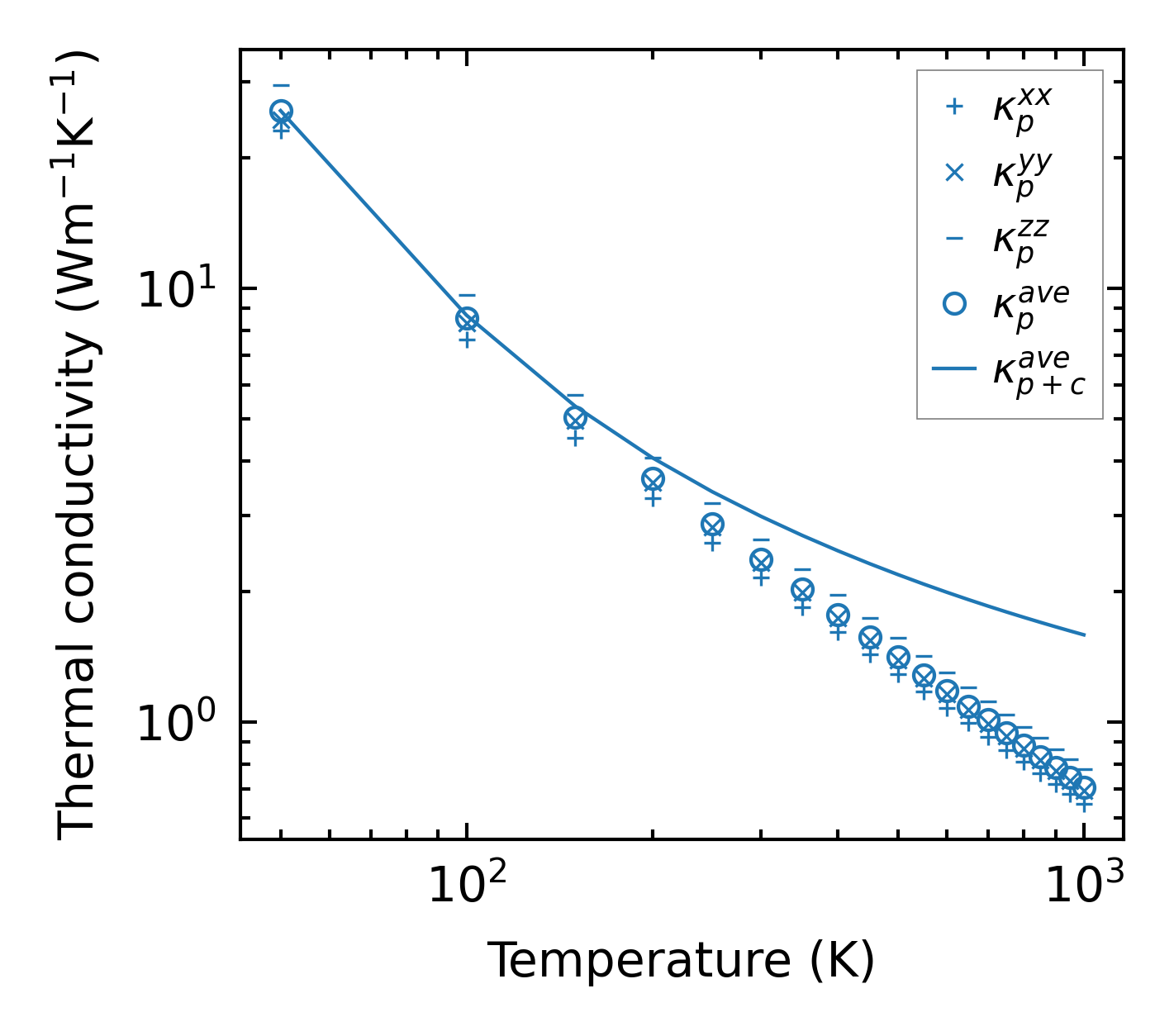
../../_images/fig_kappa4983.png

(a) Temperature-dependent lattice thermal conductivity

../../_images/fig_kappa_vs_grain_size2656.png

(b) Peierls lattice thermal conductivity w.r.t grain size

Phonon lifetime and scattering rates

../../_images/fig_lifetime2598.png

(a) Phonon lifetime due to phonon-phonon scattering

../../_images/fig_scat_rates2597.png

(b) Phonon scattering rates

Cumulative and spectral thermal conductivity

../../_images/fig_cumu_frequency2598.png

(a) Spectral and cumulative thermal conductivity w.r.t frequency

../../_images/fig_cumu_mfp2597.png

(b) Spectral and cumulative thermal conductivity w.r.t MFP

Force constants

../../_images/fig_fc26216.png

(a) Force constants w.r.t atomic distance

Summary

../../_images/fig_kappa4984.png

(a) Temperature-dependent lattice thermal conductivity

../../_images/fig_times11574.png

(b) Computation time