mp-6450-2/K2LiAlP2/anharm

Equation of state

../../_images/fig_bm3398.png

(a) Equation of state

Harmonic properties

../../_images/fig_bandos_pr6422.png

(a) Phonon dispersion with participation ratio and DOS

../../_images/fig_thermo6422.png

(b) Thermodynamic properties

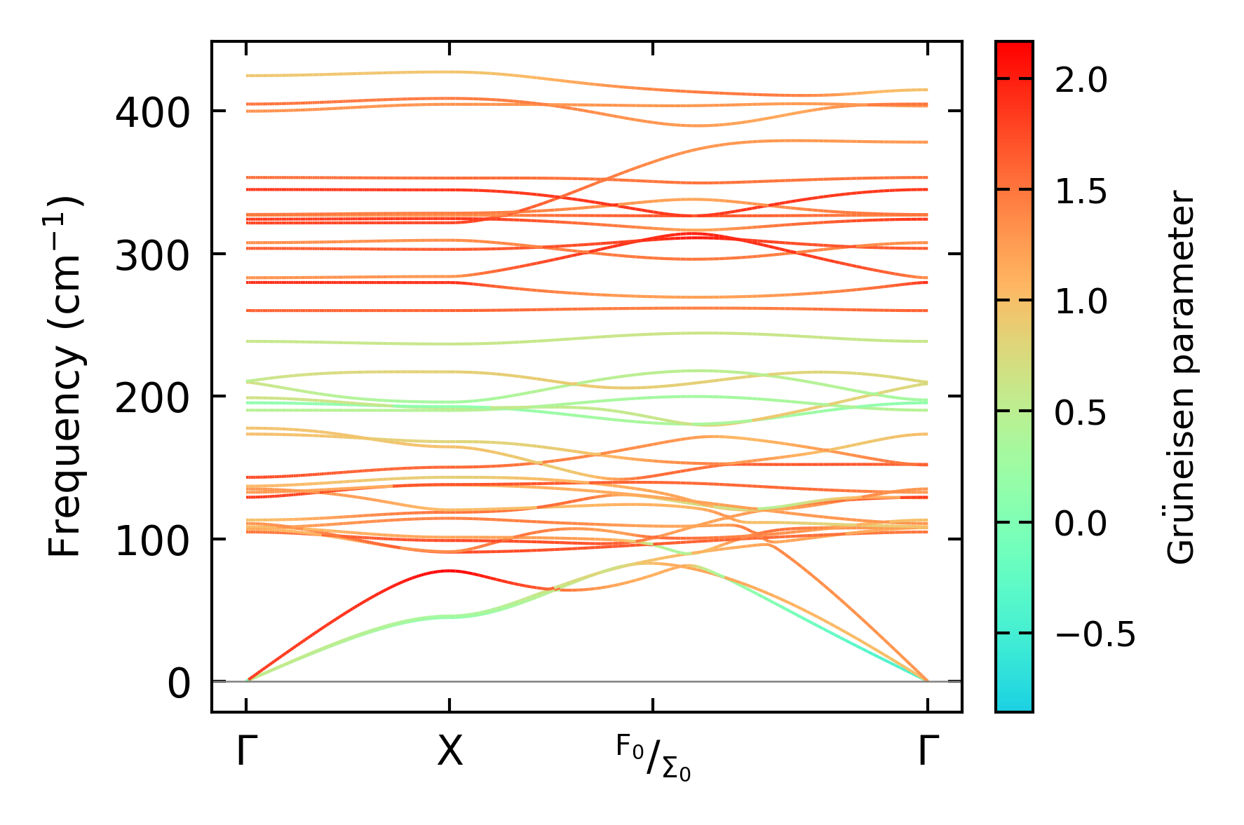
Grüneisen parameters

../../_images/fig_gru_all2616.png

(a) Grüneisen parameters

../../_images/fig_gruneisen2616.png

(b) Phonon dispersion with Grüneisen parameters

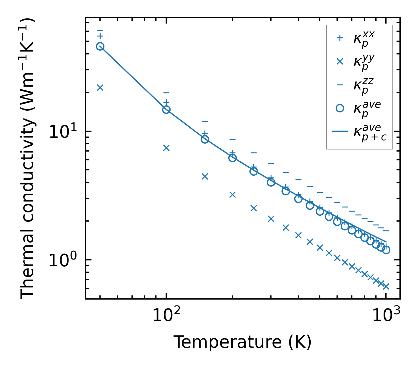
Thermal conductivity

3-phonon (LASSO) — q-mesh: 11x11x11, supercell: 2x1x3

../../_images/fig_kappa4975.png

(a) Temperature-dependent lattice thermal conductivity

../../_images/fig_kappa_vs_grain_size2652.png

(b) Peierls lattice thermal conductivity w.r.t grain size

Phonon lifetime and scattering rates

../../_images/fig_lifetime2594.png

(a) Phonon lifetime due to phonon-phonon scattering

../../_images/fig_scat_rates2593.png

(b) Phonon scattering rates

Cumulative and spectral thermal conductivity

../../_images/fig_cumu_frequency2594.png

(a) Spectral and cumulative thermal conductivity w.r.t frequency

../../_images/fig_cumu_mfp2593.png

(b) Spectral and cumulative thermal conductivity w.r.t MFP

Force constants

../../_images/fig_fc26212.png

(a) Force constants w.r.t atomic distance

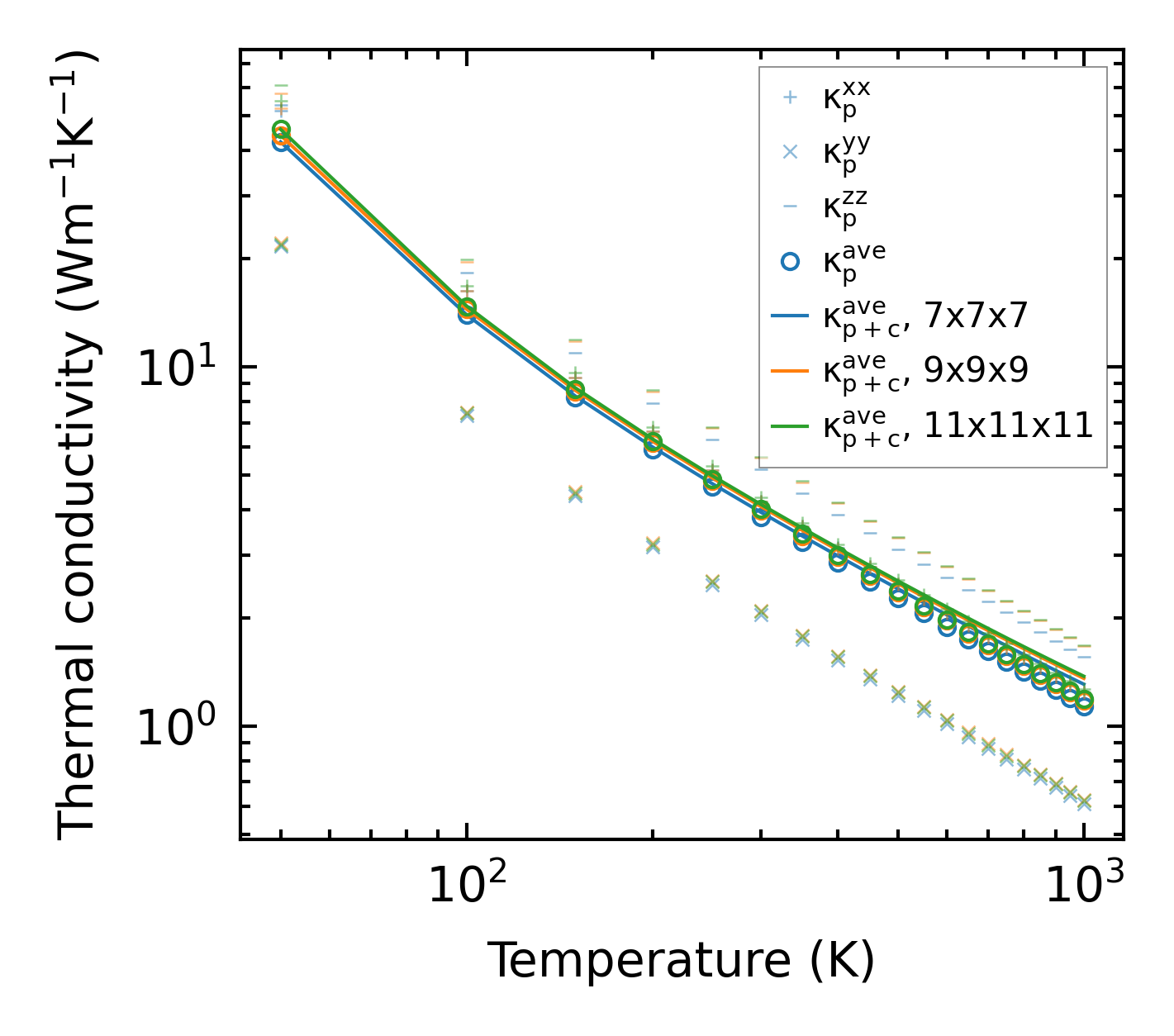
Summary

../../_images/fig_kappa4976.png

(a) Temperature-dependent lattice thermal conductivity

../../_images/fig_times11566.png

(b) Computation time