mp-6226/NaSn4P3O12/harm

Equation of state

../../_images/fig_bm3339.png

(a) Equation of state

Harmonic properties

../../_images/fig_bandos_pr6317.png

(a) Phonon dispersion with participation ratio and DOS

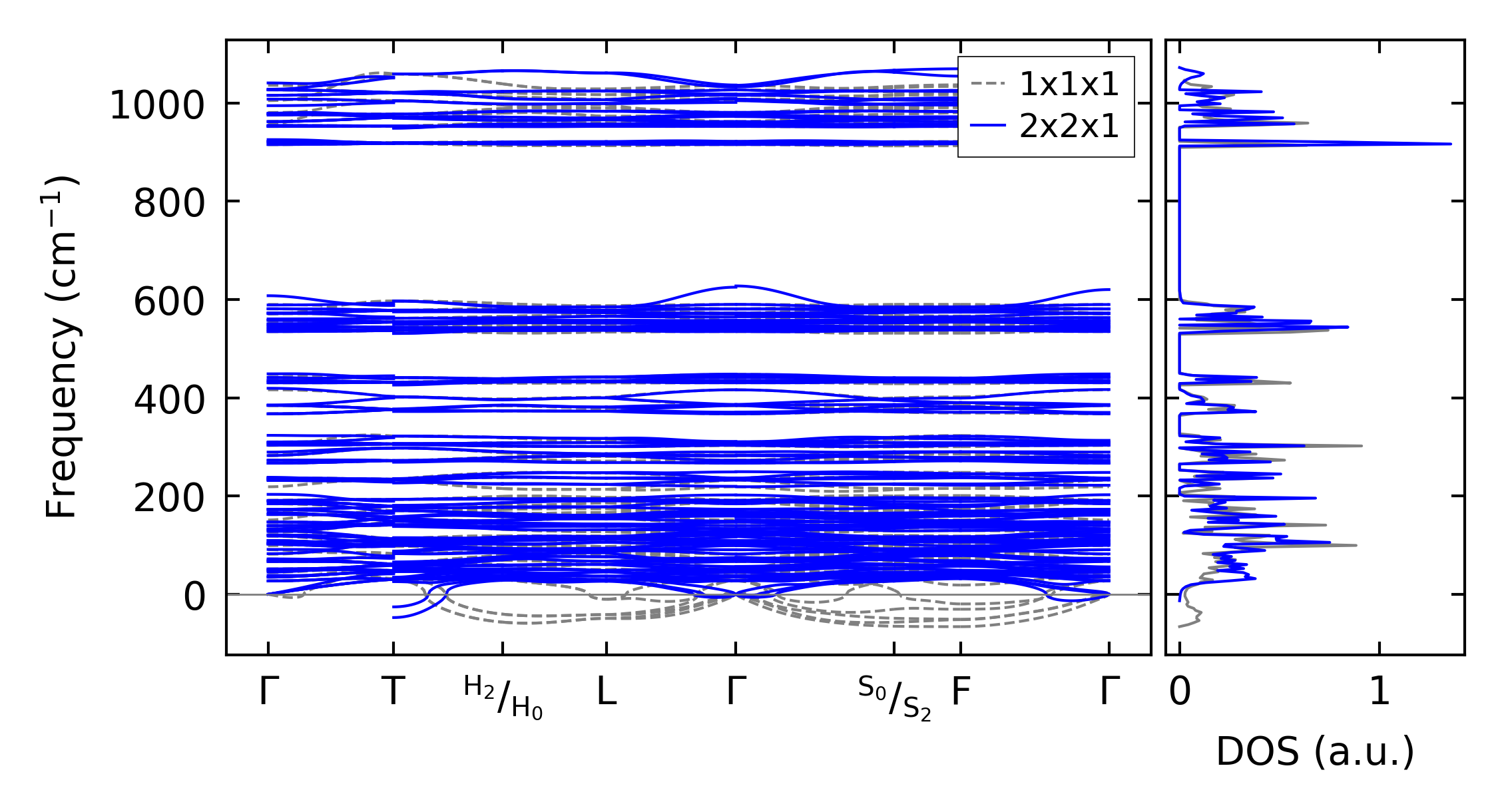
../../_images/fig_bandos9176.png

(b) Phonon dispersion and DOS

../../_images/fig_thermo6317.png

(c) Thermodynamic properties

Force constants

../../_images/fig_fc26107.png

(a) Force constants w.r.t atomic distance

Summary

../../_images/fig_times11437.png

(a) Computation time