mp-6920/KNO3/anharm

Harmonic properties

../../_images/fig_bandos_pr6212.png

(a) Phonon dispersion with participation ratio and DOS

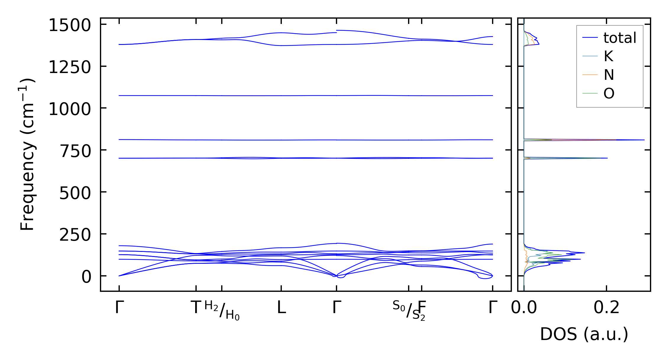
../../_images/fig_bandos9075.png

(b) Phonon dispersion and DOS

../../_images/fig_thermo6212.png

(c) Thermodynamic properties

Grüneisen parameters

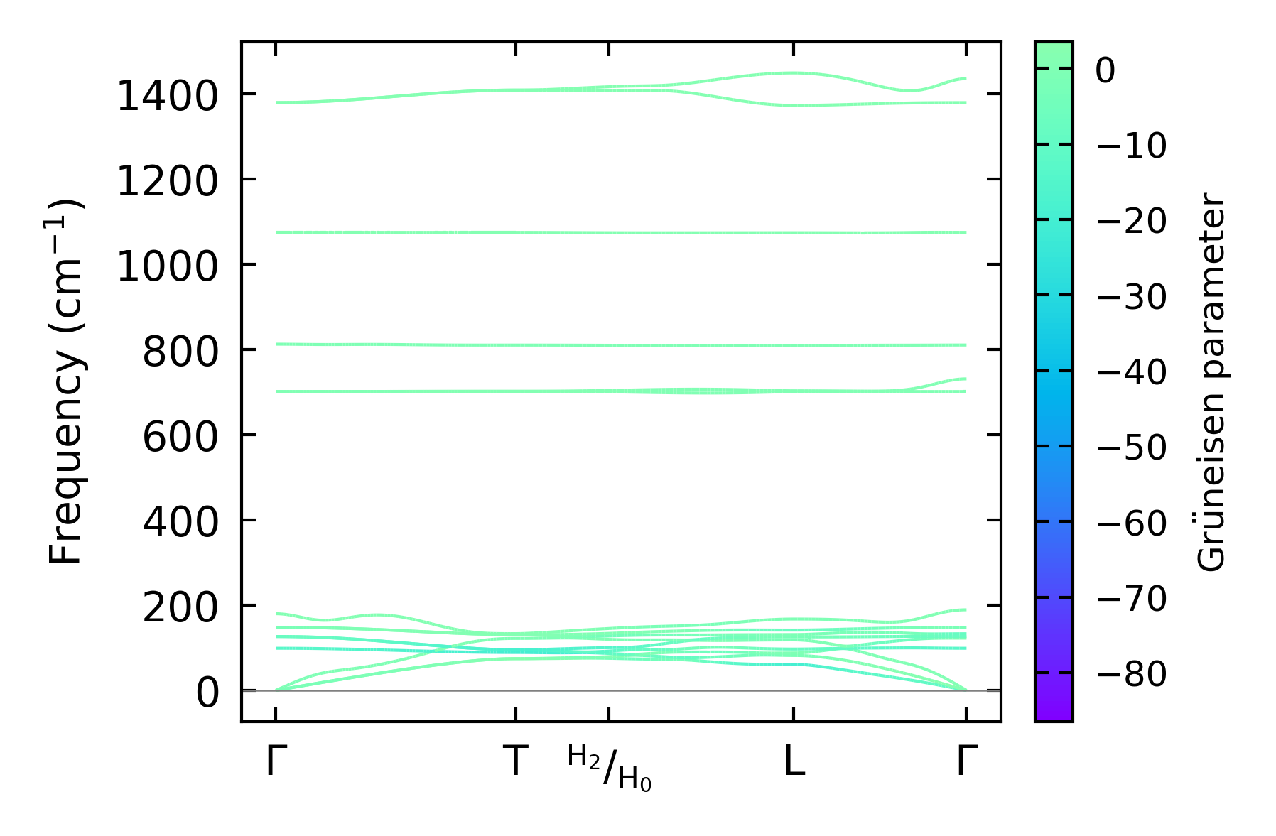
../../_images/fig_gru_all2524.png

(a) Grüneisen parameters

../../_images/fig_gruneisen2524.png

(b) Phonon dispersion with Grüneisen parameters

Thermal conductivity

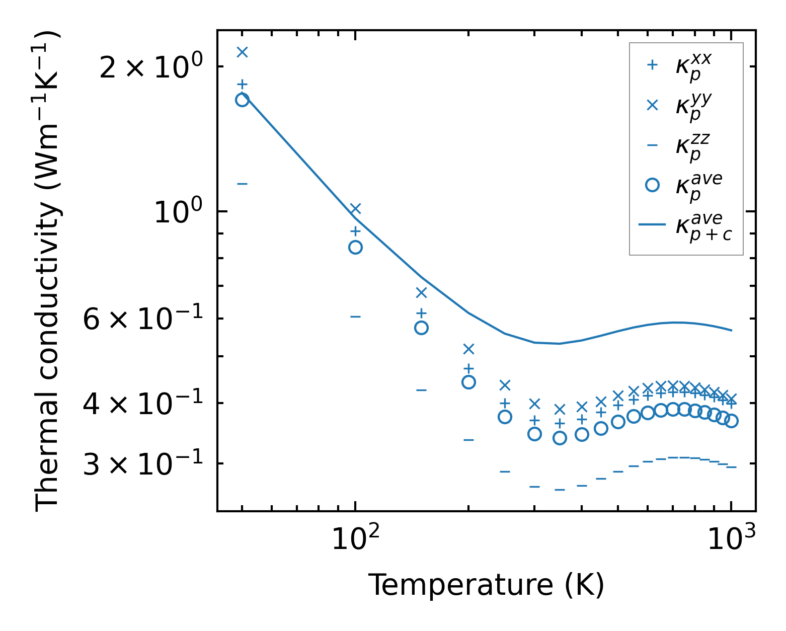
3-phonon (LASSO) — q-mesh: 16x16x16, supercell: 2x2x2

../../_images/fig_kappa4801.png

(a) Temperature-dependent lattice thermal conductivity

../../_images/fig_kappa_vs_grain_size2557.png

(b) Peierls lattice thermal conductivity w.r.t grain size

Phonon lifetime and scattering rates

../../_images/fig_lifetime2506.png

(a) Phonon lifetime due to phonon-phonon scattering

../../_images/fig_scat_rates2505.png

(b) Phonon scattering rates

Cumulative and spectral thermal conductivity

../../_images/fig_cumu_frequency2506.png

(a) Spectral and cumulative thermal conductivity w.r.t frequency

../../_images/fig_cumu_mfp2505.png

(b) Spectral and cumulative thermal conductivity w.r.t MFP

Force constants

../../_images/fig_fc26003.png

(a) Force constants w.r.t atomic distance

Summary

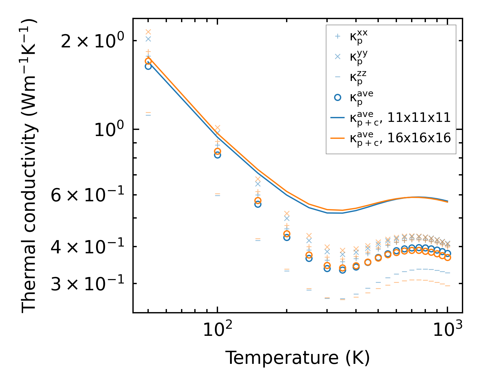
../../_images/fig_kappa4802.png

(a) Temperature-dependent lattice thermal conductivity

../../_images/fig_times11295.png

(b) Computation time