mp-6179-2/KLiSO4/anharm

Equation of state

../../_images/fig_bm3327.png

(a) Equation of state

Harmonic properties

../../_images/fig_bandos_pr6298.png

(a) Phonon dispersion with participation ratio and DOS

../../_images/fig_thermo6298.png

(b) Thermodynamic properties

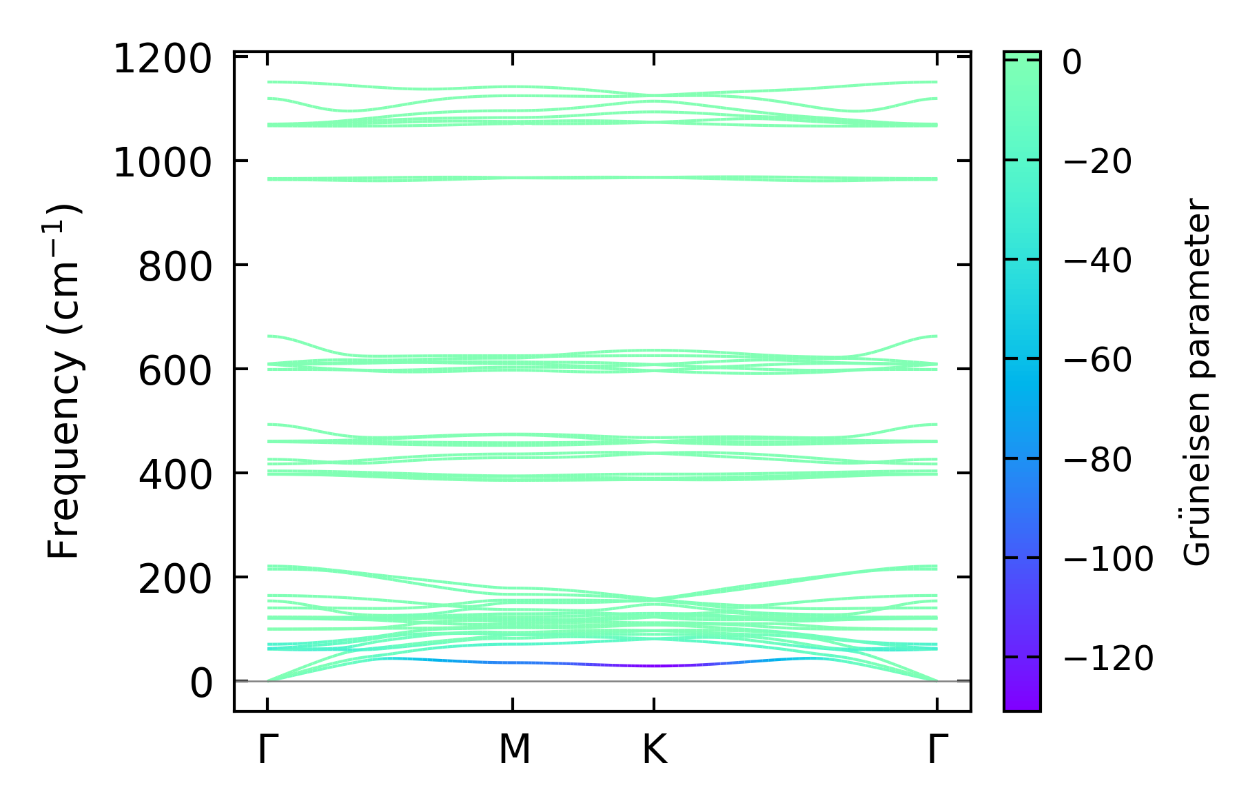
Grüneisen parameters

../../_images/fig_gru_all2569.png

(a) Grüneisen parameters

../../_images/fig_gruneisen2569.png

(b) Phonon dispersion with Grüneisen parameters

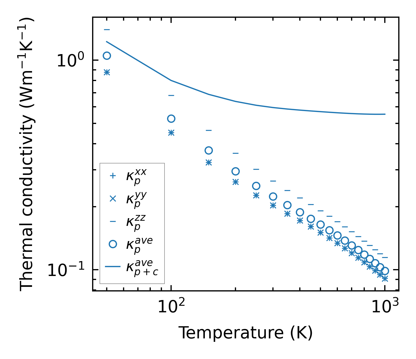
Thermal conductivity

3-phonon (LASSO) — q-mesh: 14x14x8, supercell: 2x2x2

../../_images/fig_kappa4887.png

(a) Temperature-dependent lattice thermal conductivity

../../_images/fig_kappa_vs_grain_size2604.png

(b) Peierls lattice thermal conductivity w.r.t grain size

Phonon lifetime and scattering rates

../../_images/fig_lifetime2550.png

(a) Phonon lifetime due to phonon-phonon scattering

../../_images/fig_scat_rates2549.png

(b) Phonon scattering rates

Cumulative and spectral thermal conductivity

../../_images/fig_cumu_frequency2550.png

(a) Spectral and cumulative thermal conductivity w.r.t frequency

../../_images/fig_cumu_mfp2549.png

(b) Spectral and cumulative thermal conductivity w.r.t MFP

Force constants

../../_images/fig_fc26088.png

(a) Force constants w.r.t atomic distance

Summary

../../_images/fig_kappa4888.png

(a) Temperature-dependent lattice thermal conductivity

../../_images/fig_times11414.png

(b) Computation time