mp-6586/K2NaAlF6/anharm

Harmonic properties

../../_images/fig_bandos_pr6477.png

(a) Phonon dispersion with participation ratio and DOS

../../_images/fig_thermo6477.png

(b) Thermodynamic properties

Grüneisen parameters

../../_images/fig_gru_all2644.png

(a) Grüneisen parameters

../../_images/fig_gruneisen2644.png

(b) Phonon dispersion with Grüneisen parameters

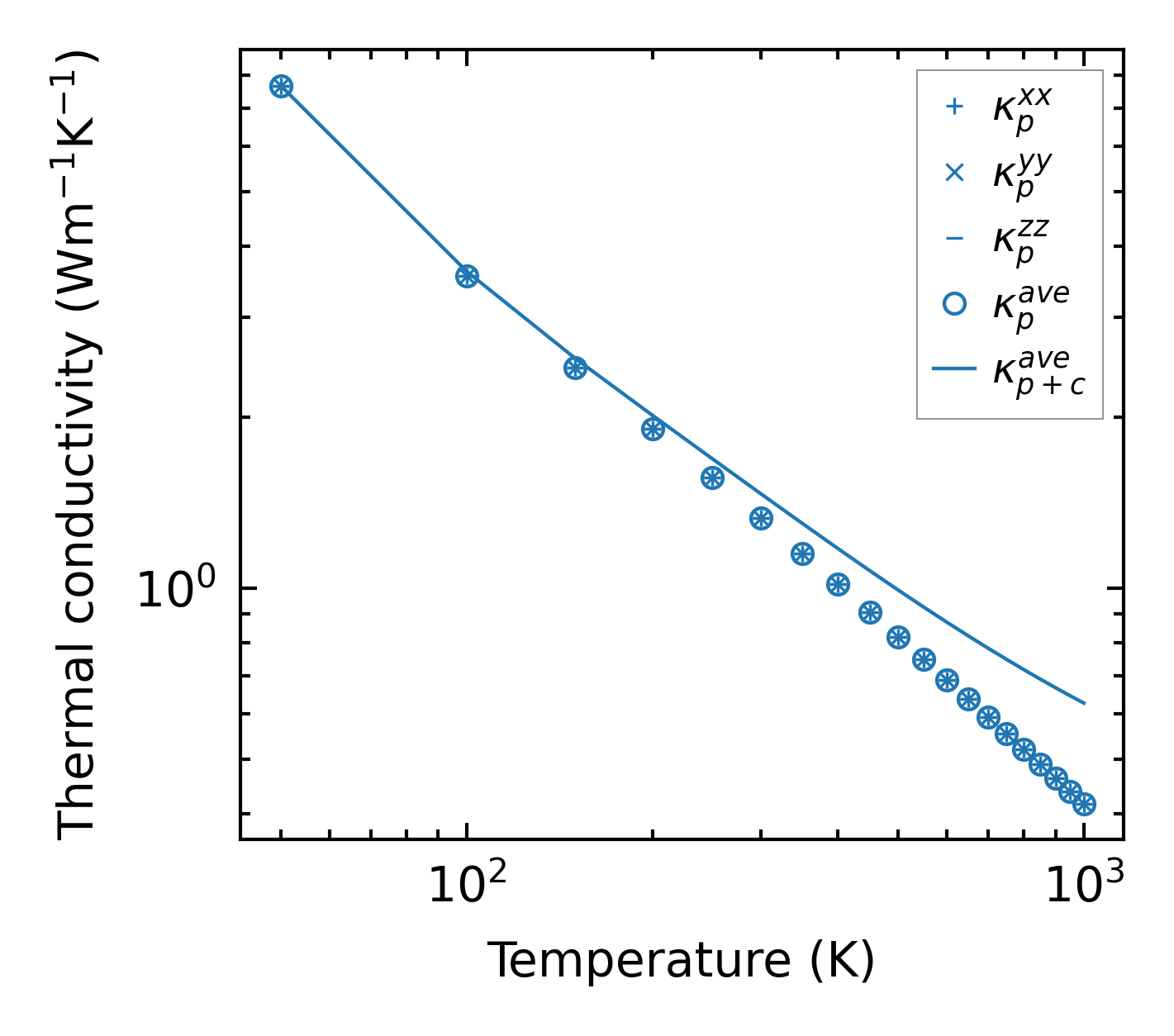
Thermal conductivity

3-phonon (LASSO) — q-mesh: 14x14x14, supercell: 1x1x1

../../_images/fig_kappa5026.png

(a) Temperature-dependent lattice thermal conductivity

../../_images/fig_kappa_vs_grain_size2680.png

(b) Peierls lattice thermal conductivity w.r.t grain size

Force constants

../../_images/fig_fc26267.png

(a) Force constants w.r.t atomic distance

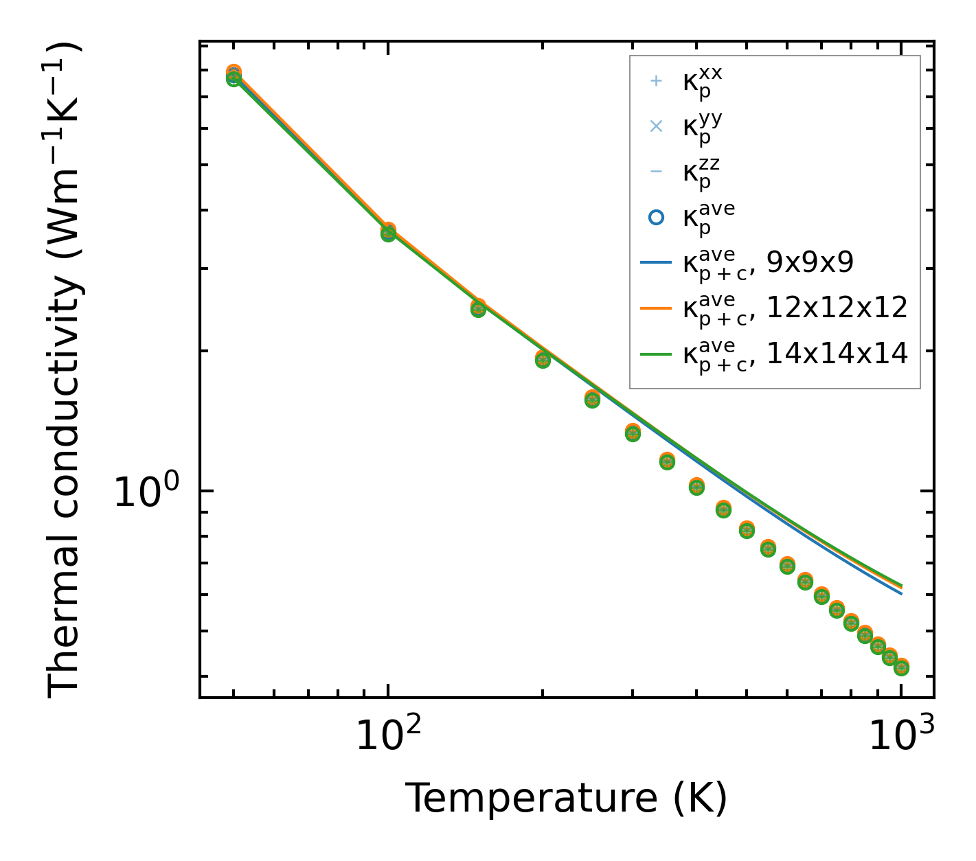
Summary

../../_images/fig_kappa5027.png

(a) Temperature-dependent lattice thermal conductivity

../../_images/fig_times11647.png

(b) Computation time