mp-6599/KNbCu2Se4/anharm

Harmonic properties

../../_images/fig_bandos_pr6080.png

(a) Phonon dispersion with participation ratio and DOS

../../_images/fig_thermo6080.png

(b) Thermodynamic properties

Grüneisen parameters

../../_images/fig_gru_all2468.png

(a) Grüneisen parameters

../../_images/fig_gruneisen2468.png

(b) Phonon dispersion with Grüneisen parameters

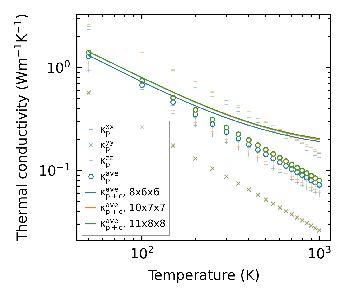
Thermal conductivity

3-phonon (LASSO) — q-mesh: 11x8x8, supercell: 2x1x2

../../_images/fig_kappa4697.png

(a) Temperature-dependent lattice thermal conductivity

../../_images/fig_kappa_vs_grain_size2499.png

(b) Peierls lattice thermal conductivity w.r.t grain size

Phonon lifetime and scattering rates

../../_images/fig_lifetime2451.png

(a) Phonon lifetime due to phonon-phonon scattering

../../_images/fig_scat_rates2450.png

(b) Phonon scattering rates

Cumulative and spectral thermal conductivity

../../_images/fig_cumu_frequency2451.png

(a) Spectral and cumulative thermal conductivity w.r.t frequency

../../_images/fig_cumu_mfp2450.png

(b) Spectral and cumulative thermal conductivity w.r.t MFP

Force constants

../../_images/fig_fc25871.png

(a) Force constants w.r.t atomic distance

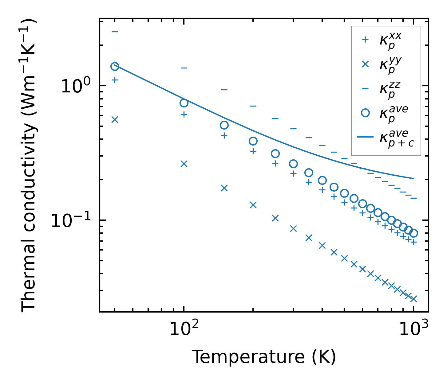
Summary

../../_images/fig_kappa4698.png

(a) Temperature-dependent lattice thermal conductivity

../../_images/fig_times11123.png

(b) Computation time