mp-6325-2/Ba3MgTa2O9/anharm

Harmonic properties

../../_images/fig_bandos_pr6376.png

(a) Phonon dispersion with participation ratio and DOS

../../_images/fig_thermo6376.png

(b) Thermodynamic properties

Grüneisen parameters

../../_images/fig_gru_all2599.png

(a) Grüneisen parameters

../../_images/fig_gruneisen2599.png

(b) Phonon dispersion with Grüneisen parameters

Thermal conductivity

3-phonon (LASSO) — q-mesh: 13x13x10, supercell: 2x2x2

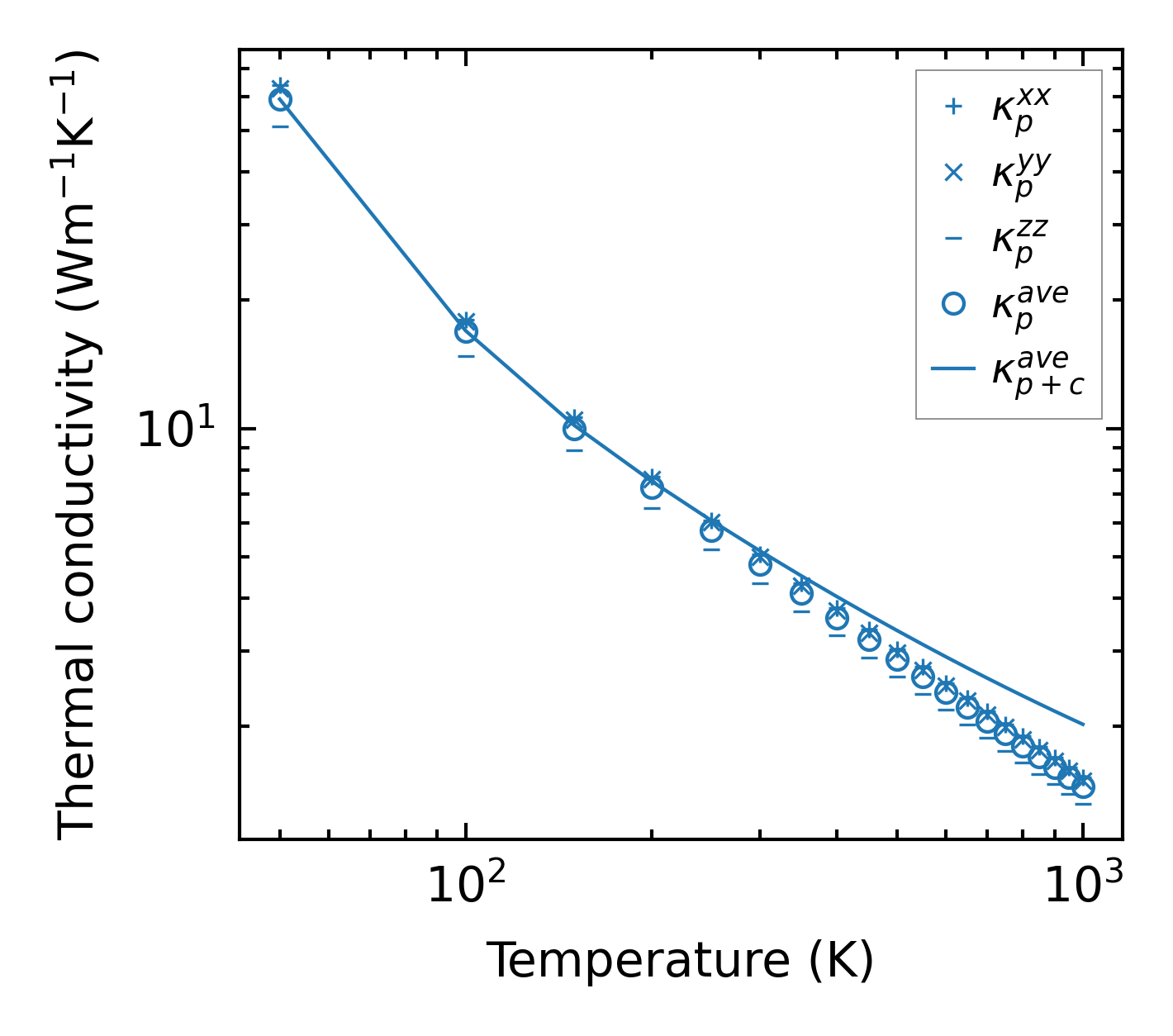
../../_images/fig_kappa4942.png

(a) Temperature-dependent lattice thermal conductivity

../../_images/fig_kappa_vs_grain_size2634.png

(b) Peierls lattice thermal conductivity w.r.t grain size

Phonon lifetime and scattering rates

../../_images/fig_lifetime2577.png

(a) Phonon lifetime due to phonon-phonon scattering

../../_images/fig_scat_rates2576.png

(b) Phonon scattering rates

Cumulative and spectral thermal conductivity

../../_images/fig_cumu_frequency2577.png

(a) Spectral and cumulative thermal conductivity w.r.t frequency

../../_images/fig_cumu_mfp2576.png

(b) Spectral and cumulative thermal conductivity w.r.t MFP

Force constants

../../_images/fig_fc26166.png

(a) Force constants w.r.t atomic distance

Summary

../../_images/fig_kappa4943.png

(a) Temperature-dependent lattice thermal conductivity

../../_images/fig_times11502.png

(b) Computation time