mp-6687/Ba2HoSbO6/anharm

Harmonic properties

../../_images/fig_bandos_pr6123.png

(a) Phonon dispersion with participation ratio and DOS

../../_images/fig_thermo6123.png

(b) Thermodynamic properties

Grüneisen parameters

../../_images/fig_gru_all2485.png

(a) Grüneisen parameters

../../_images/fig_gruneisen2485.png

(b) Phonon dispersion with Grüneisen parameters

Thermal conductivity

3-phonon (LASSO) — q-mesh: 13x13x13, supercell: 1x1x1

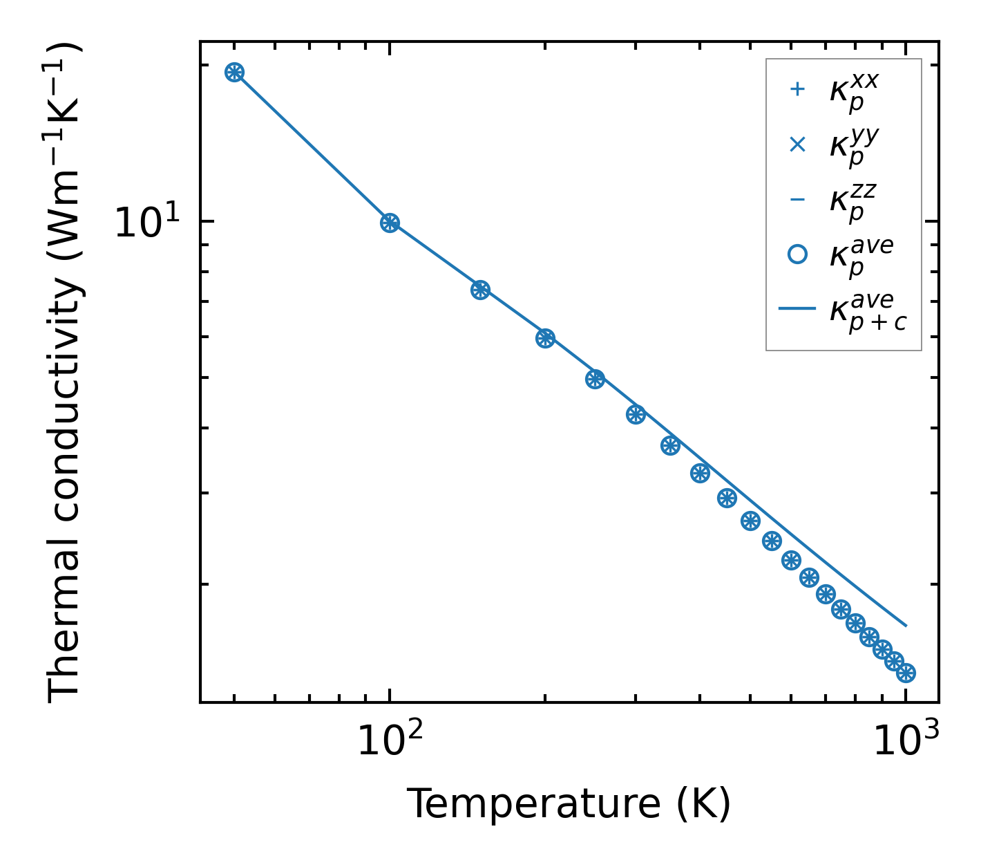
../../_images/fig_kappa4728.png

(a) Temperature-dependent lattice thermal conductivity

../../_images/fig_kappa_vs_grain_size2515.png

(b) Peierls lattice thermal conductivity w.r.t grain size

Phonon lifetime and scattering rates

../../_images/fig_lifetime2467.png

(a) Phonon lifetime due to phonon-phonon scattering

../../_images/fig_scat_rates2466.png

(b) Phonon scattering rates

Cumulative and spectral thermal conductivity

../../_images/fig_cumu_frequency2467.png

(a) Spectral and cumulative thermal conductivity w.r.t frequency

../../_images/fig_cumu_mfp2466.png

(b) Spectral and cumulative thermal conductivity w.r.t MFP

Force constants

../../_images/fig_fc25914.png

(a) Force constants w.r.t atomic distance

Summary

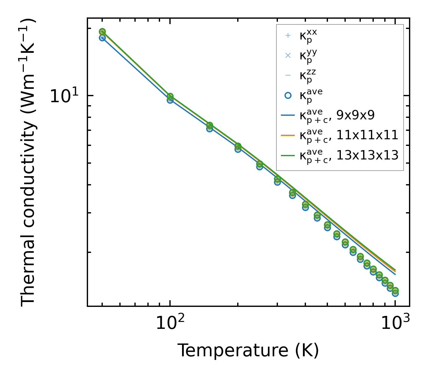
../../_images/fig_kappa4729.png

(a) Temperature-dependent lattice thermal conductivity

../../_images/fig_times11178.png

(b) Computation time