mp-6528-2/Cs2NaAlF6/anharm

Equation of state

../../_images/fig_bm3421.png

(a) Equation of state

Harmonic properties

../../_images/fig_bandos_pr6460.png

(a) Phonon dispersion with participation ratio and DOS

../../_images/fig_thermo6460.png

(b) Thermodynamic properties

Grüneisen parameters

../../_images/fig_gru_all2638.png

(a) Grüneisen parameters

../../_images/fig_gruneisen2638.png

(b) Phonon dispersion with Grüneisen parameters

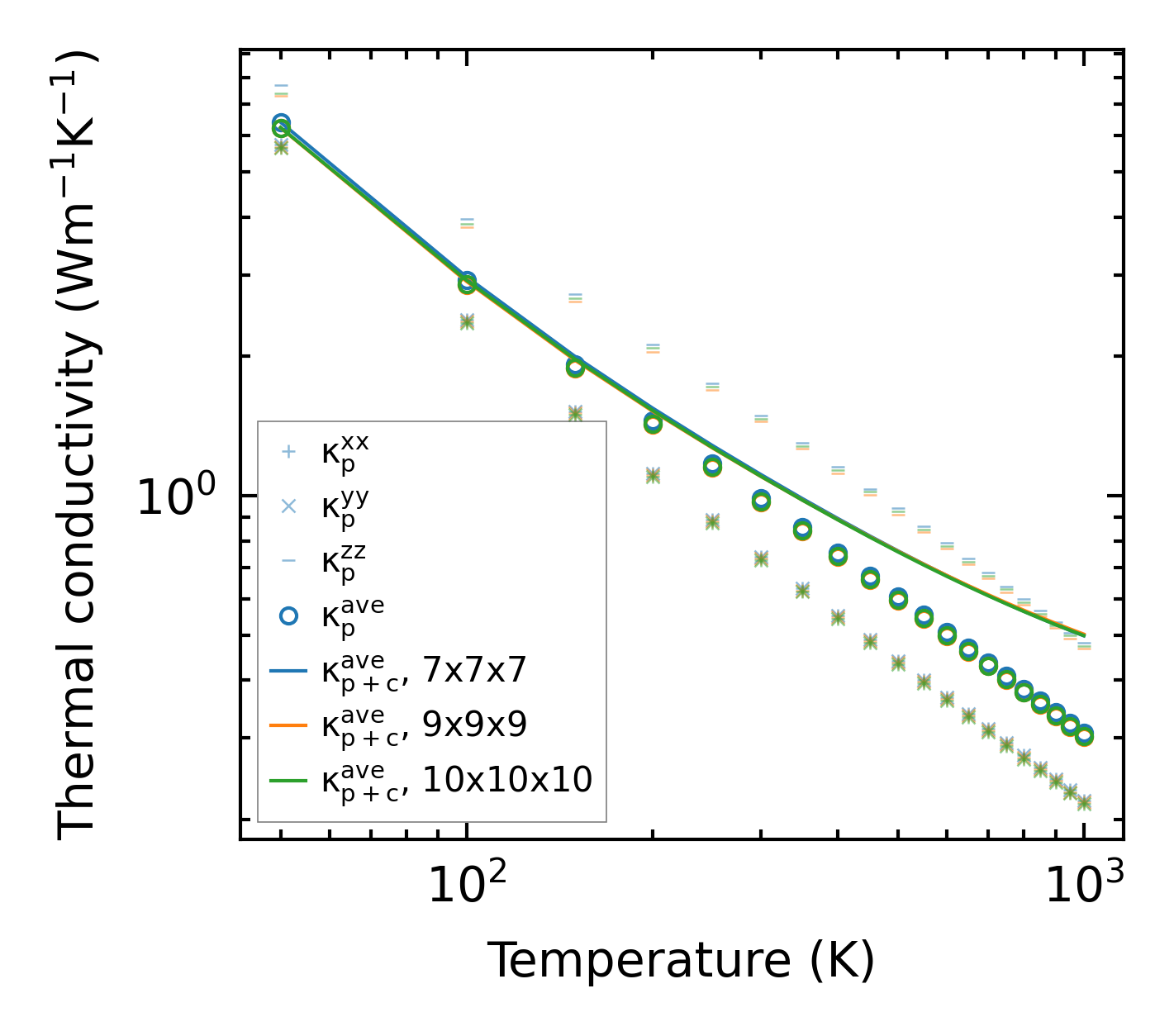
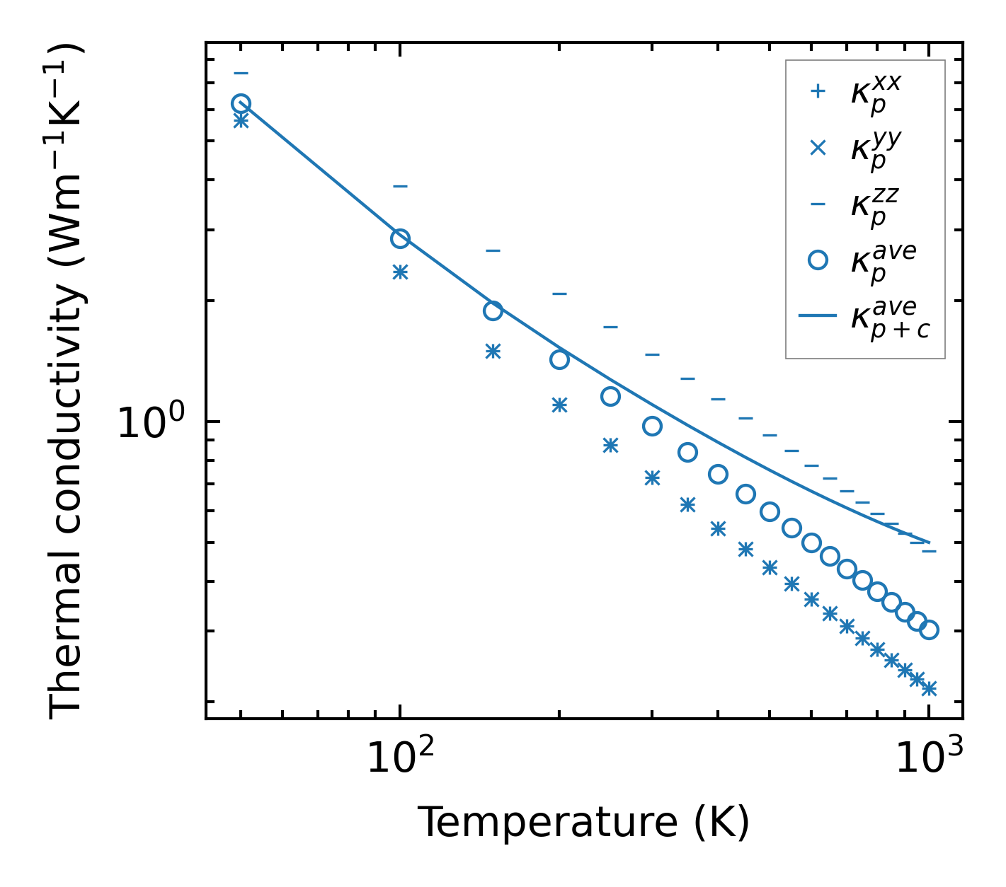
Thermal conductivity

3-phonon (LASSO) — q-mesh: 10x10x10, supercell: 1x1x1

../../_images/fig_kappa5015.png

(a) Temperature-dependent lattice thermal conductivity

../../_images/fig_kappa_vs_grain_size2674.png

(b) Peierls lattice thermal conductivity w.r.t grain size

Phonon lifetime and scattering rates

../../_images/fig_lifetime2616.png

(a) Phonon lifetime due to phonon-phonon scattering

../../_images/fig_scat_rates2615.png

(b) Phonon scattering rates

Cumulative and spectral thermal conductivity

../../_images/fig_cumu_frequency2616.png

(a) Spectral and cumulative thermal conductivity w.r.t frequency

../../_images/fig_cumu_mfp2615.png

(b) Spectral and cumulative thermal conductivity w.r.t MFP

Force constants

../../_images/fig_fc26250.png

(a) Force constants w.r.t atomic distance

Summary

../../_images/fig_kappa5016.png

(a) Temperature-dependent lattice thermal conductivity

../../_images/fig_times11622.png

(b) Computation time