mp-6281-2/NaCa3RuO6/anharm

Equation of state

../../_images/fig_bm3360.png

(a) Equation of state

Harmonic properties

../../_images/fig_bandos_pr6359.png

(a) Phonon dispersion with participation ratio and DOS

../../_images/fig_thermo6359.png

(b) Thermodynamic properties

Grüneisen parameters

../../_images/fig_gru_all2592.png

(a) Grüneisen parameters

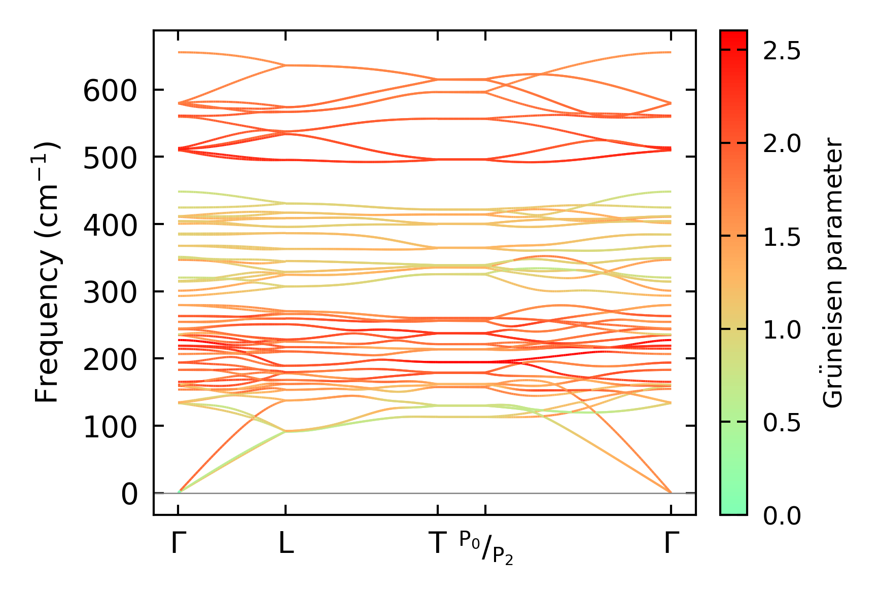
../../_images/fig_gruneisen2592.png

(b) Phonon dispersion with Grüneisen parameters

Thermal conductivity

3-phonon (LASSO) — q-mesh: 11x11x11, supercell: 1x1x1

../../_images/fig_kappa4930.png

(a) Temperature-dependent lattice thermal conductivity

../../_images/fig_kappa_vs_grain_size2627.png

(b) Peierls lattice thermal conductivity w.r.t grain size

Phonon lifetime and scattering rates

../../_images/fig_lifetime2570.png

(a) Phonon lifetime due to phonon-phonon scattering

../../_images/fig_scat_rates2569.png

(b) Phonon scattering rates

Cumulative and spectral thermal conductivity

../../_images/fig_cumu_frequency2570.png

(a) Spectral and cumulative thermal conductivity w.r.t frequency

../../_images/fig_cumu_mfp2569.png

(b) Spectral and cumulative thermal conductivity w.r.t MFP

Force constants

../../_images/fig_fc26149.png

(a) Force constants w.r.t atomic distance

Summary

../../_images/fig_kappa4931.png

(a) Temperature-dependent lattice thermal conductivity

../../_images/fig_times11483.png

(b) Computation time