mp-6684/NaCdPO4/anharm

Harmonic properties

../../_images/fig_bandos_pr6120.png

(a) Phonon dispersion with participation ratio and DOS

../../_images/fig_thermo6120.png

(b) Thermodynamic properties

Grüneisen parameters

../../_images/fig_gru_all2484.png

(a) Grüneisen parameters

../../_images/fig_gruneisen2484.png

(b) Phonon dispersion with Grüneisen parameters

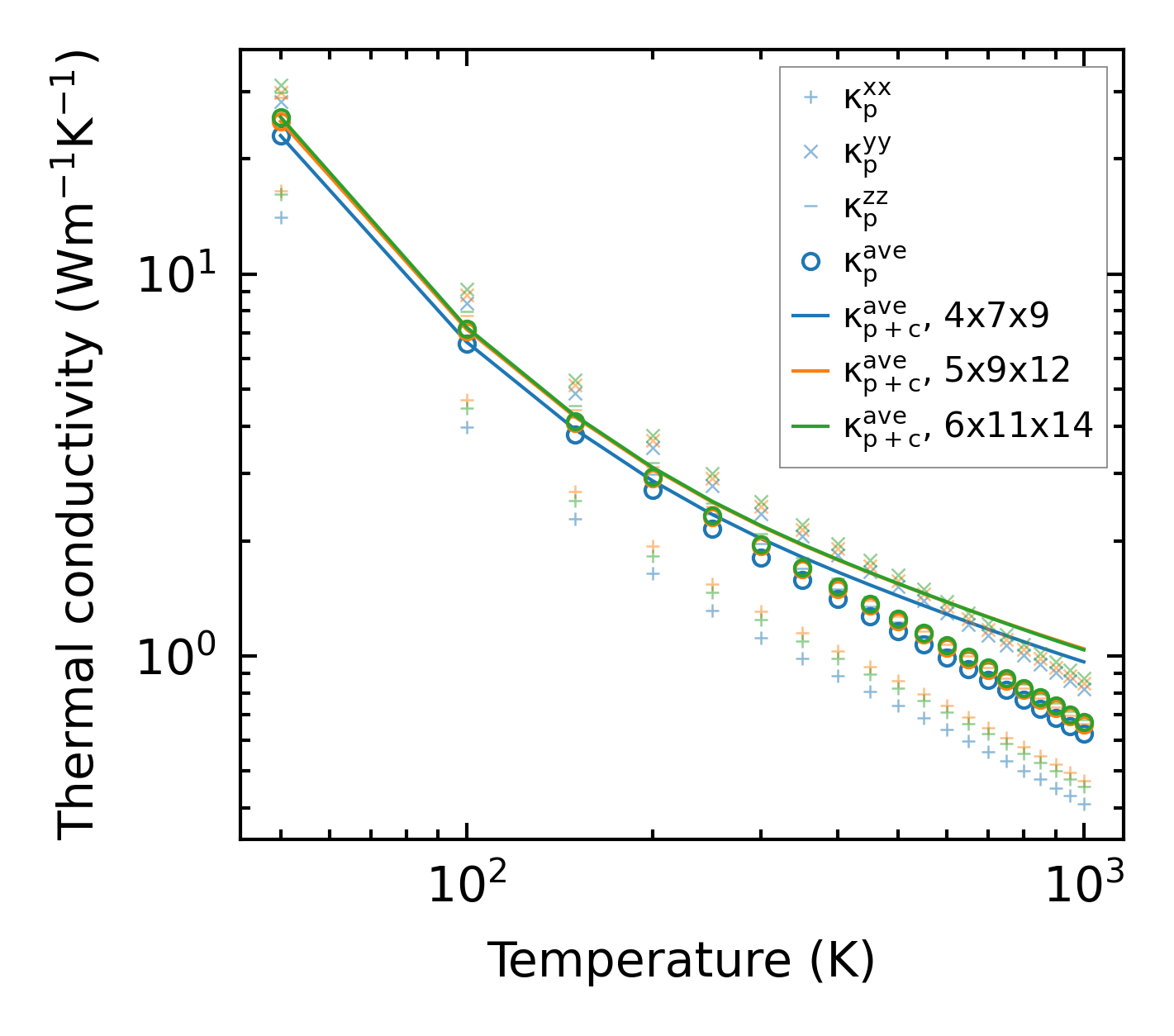
Thermal conductivity

3-phonon (LASSO) — q-mesh: 6x11x14, supercell: 1x2x2

../../_images/fig_kappa4726.png

(a) Temperature-dependent lattice thermal conductivity

../../_images/fig_kappa_vs_grain_size2514.png

(b) Peierls lattice thermal conductivity w.r.t grain size

Phonon lifetime and scattering rates

../../_images/fig_lifetime2466.png

(a) Phonon lifetime due to phonon-phonon scattering

../../_images/fig_scat_rates2465.png

(b) Phonon scattering rates

Cumulative and spectral thermal conductivity

../../_images/fig_cumu_frequency2466.png

(a) Spectral and cumulative thermal conductivity w.r.t frequency

../../_images/fig_cumu_mfp2465.png

(b) Spectral and cumulative thermal conductivity w.r.t MFP

Force constants

../../_images/fig_fc25911.png

(a) Force constants w.r.t atomic distance

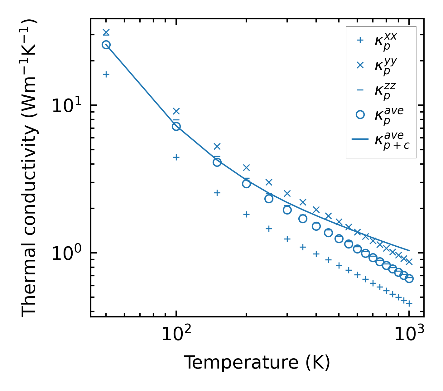
Summary

../../_images/fig_kappa4727.png

(a) Temperature-dependent lattice thermal conductivity

../../_images/fig_times11175.png

(b) Computation time