mp-6164-2/Sr4MoN4O/anharm

Equation of state

../../_images/fig_bm3322.png

(a) Equation of state

Harmonic properties

../../_images/fig_bandos_pr6287.png

(a) Phonon dispersion with participation ratio and DOS

../../_images/fig_bandos9150.png

(b) Phonon dispersion and DOS

../../_images/fig_thermo6287.png

(c) Thermodynamic properties

Grüneisen parameters

../../_images/fig_gru_all2565.png

(a) Grüneisen parameters

../../_images/fig_gruneisen2565.png

(b) Phonon dispersion with Grüneisen parameters

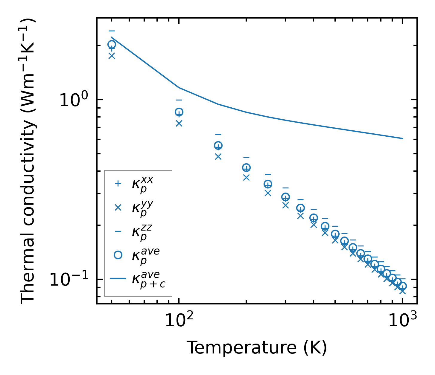
Thermal conductivity

3-phonon (LASSO) — q-mesh: 8x4x6, supercell: 1x1x1

../../_images/fig_kappa4879.png

(a) Temperature-dependent lattice thermal conductivity

../../_images/fig_kappa_vs_grain_size2599.png

(b) Peierls lattice thermal conductivity w.r.t grain size

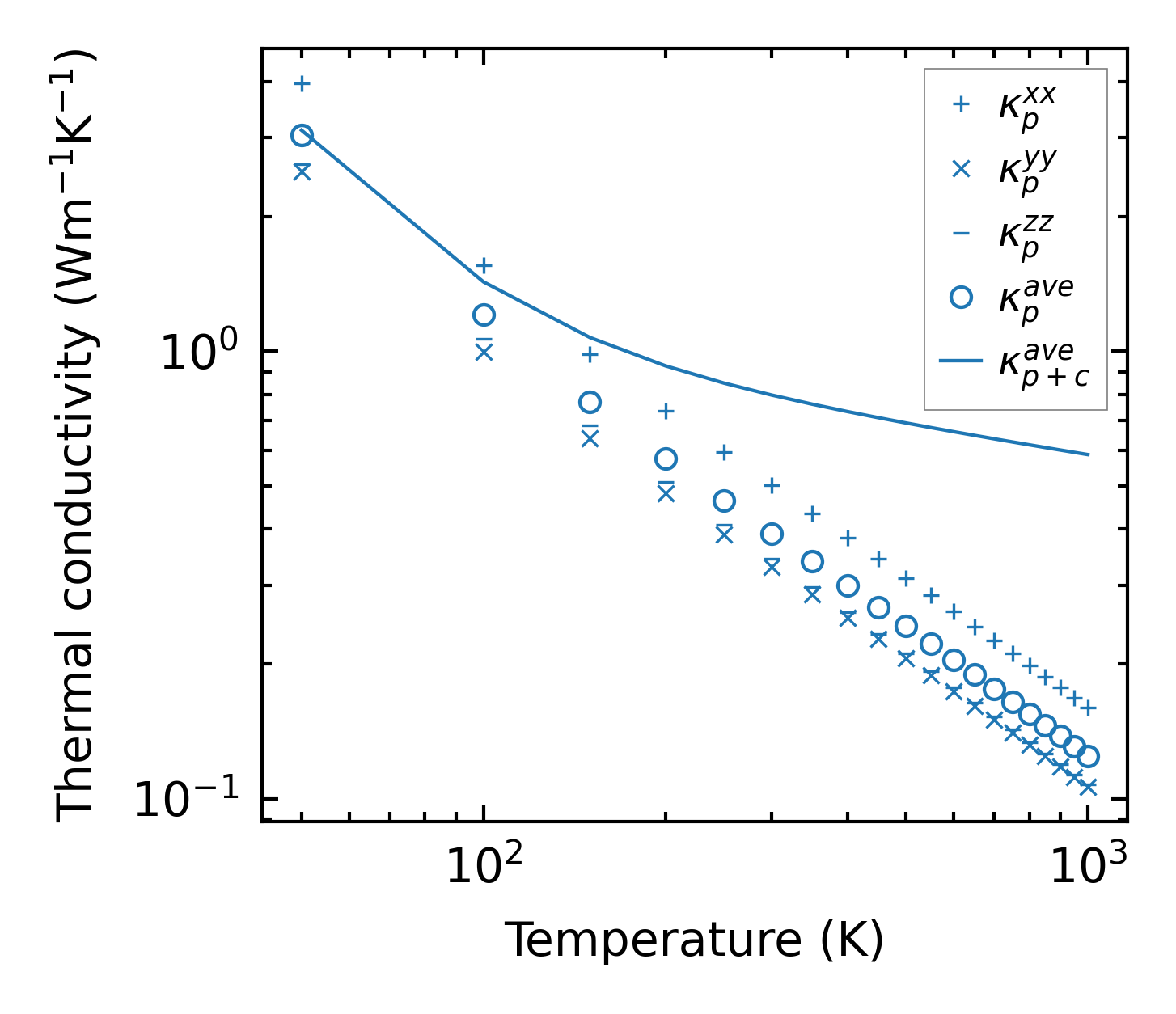
3-phonon (LASSO), supercell 2x1x1 — q-mesh: 8x4x6, supercell: 2x1x1

../../_images/fig_kappa4880.png

(a) Temperature-dependent lattice thermal conductivity

../../_images/fig_kappa_vs_grain_size2600.png

(b) Peierls lattice thermal conductivity w.r.t grain size

Phonon lifetime and scattering rates

../../_images/fig_lifetime2546.png

(a) Phonon lifetime due to phonon-phonon scattering

../../_images/fig_scat_rates2545.png

(b) Phonon scattering rates

Cumulative and spectral thermal conductivity

../../_images/fig_cumu_frequency2546.png

(a) Spectral and cumulative thermal conductivity w.r.t frequency

../../_images/fig_cumu_mfp2545.png

(b) Spectral and cumulative thermal conductivity w.r.t MFP

Force constants

../../_images/fig_fc26077.png

(a) Force constants w.r.t atomic distance

Summary

../../_images/fig_kappa4881.png

(a) Temperature-dependent lattice thermal conductivity

../../_images/fig_times11403.png

(b) Computation time