mp-6175-2/BaLi2P2O7/harm

Equation of state

../../_images/fig_bm3326.png

(a) Equation of state

Harmonic properties

../../_images/fig_bandos_pr6296.png

(a) Phonon dispersion with participation ratio and DOS

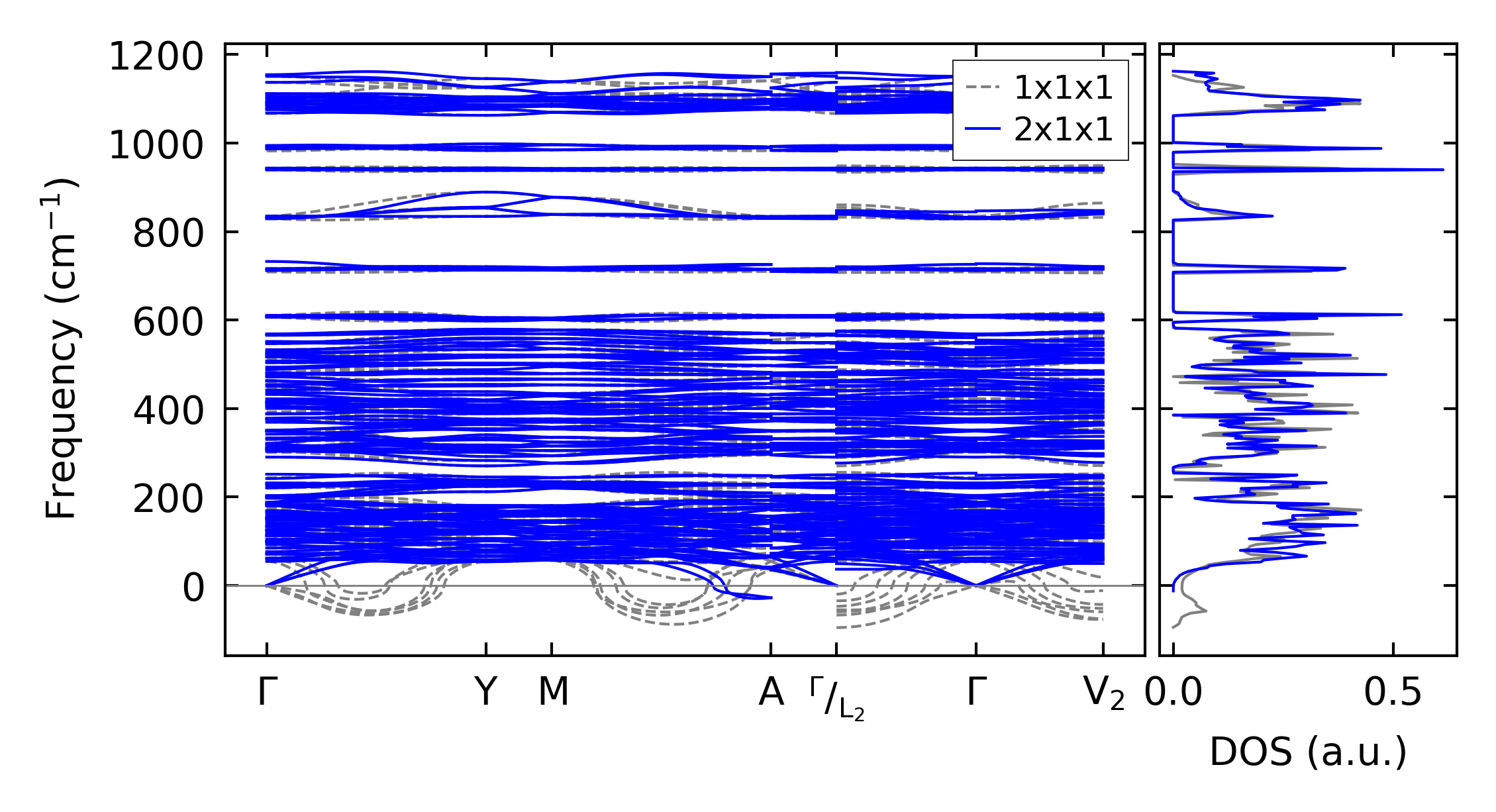
../../_images/fig_bandos9158.png

(b) Phonon dispersion and DOS

../../_images/fig_thermo6296.png

(c) Thermodynamic properties

Force constants

../../_images/fig_fc26086.png

(a) Force constants w.r.t atomic distance

Summary

../../_images/fig_times11412.png

(a) Computation time