mp-6031/Li16Nb2N8O/anharm

Harmonic properties

../../_images/fig_bandos_pr6595.png

(a) Phonon dispersion with participation ratio and DOS

../../_images/fig_thermo6595.png

(b) Thermodynamic properties

Grüneisen parameters

../../_images/fig_gru_all2688.png

(a) Grüneisen parameters

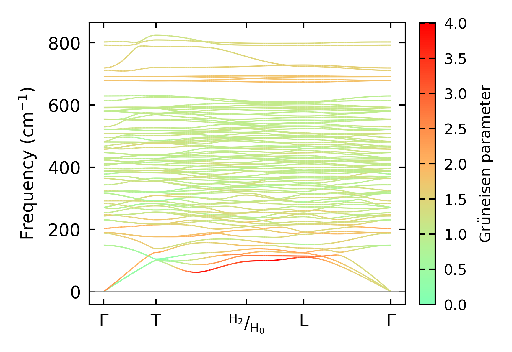
../../_images/fig_gruneisen2688.png

(b) Phonon dispersion with Grüneisen parameters

Thermal conductivity

3-phonon (LASSO) — q-mesh: 11x11x11, supercell: 1x1x1

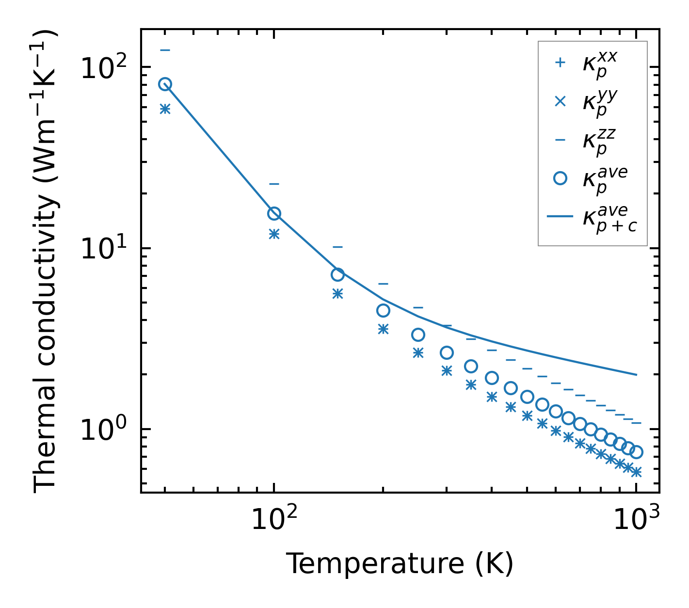
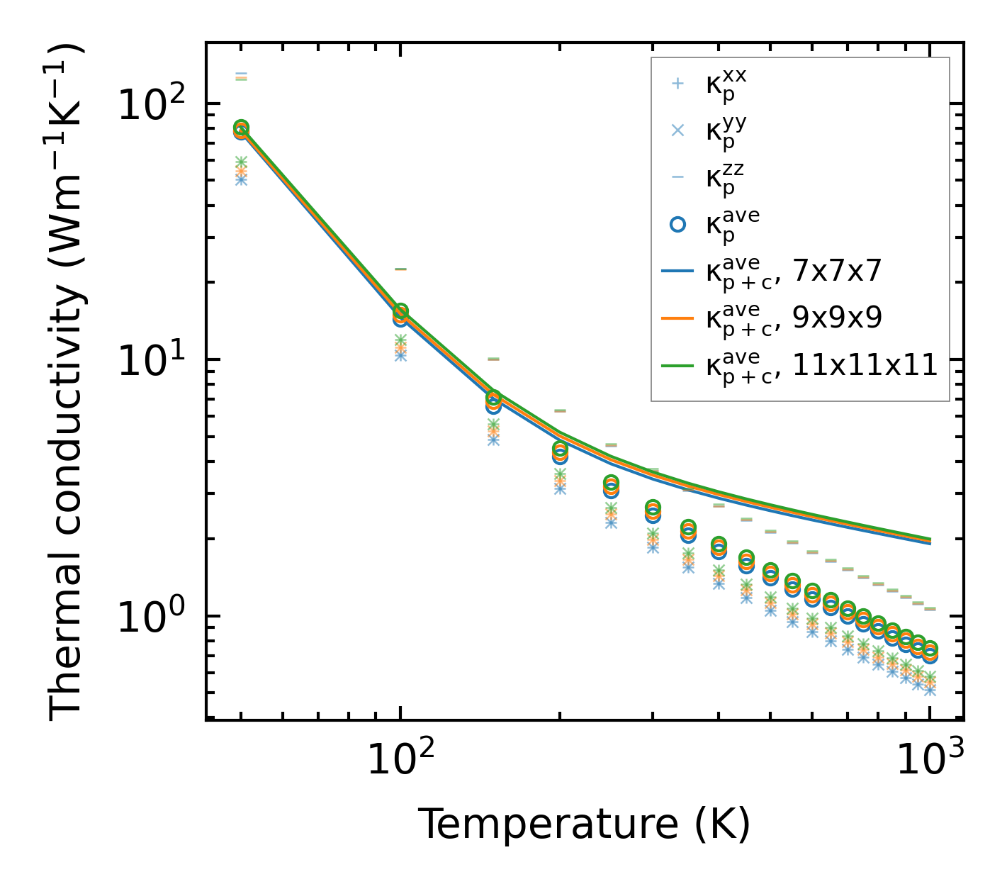
../../_images/fig_kappa5108.png

(a) Temperature-dependent lattice thermal conductivity

../../_images/fig_kappa_vs_grain_size2725.png

(b) Peierls lattice thermal conductivity w.r.t grain size

Phonon lifetime and scattering rates

../../_images/fig_lifetime2664.png

(a) Phonon lifetime due to phonon-phonon scattering

../../_images/fig_scat_rates2663.png

(b) Phonon scattering rates

Cumulative and spectral thermal conductivity

../../_images/fig_cumu_frequency2664.png

(a) Spectral and cumulative thermal conductivity w.r.t frequency

../../_images/fig_cumu_mfp2663.png

(b) Spectral and cumulative thermal conductivity w.r.t MFP

Force constants

../../_images/fig_fc26385.png

(a) Force constants w.r.t atomic distance

Summary

../../_images/fig_kappa5109.png

(a) Temperature-dependent lattice thermal conductivity

../../_images/fig_times11845.png

(b) Computation time