mp-6633/NaCSN/anharm

Harmonic properties

../../_images/fig_bandos_pr6097.png

(a) Phonon dispersion with participation ratio and DOS

../../_images/fig_thermo6097.png

(b) Thermodynamic properties

Grüneisen parameters

../../_images/fig_gru_all2474.png

(a) Grüneisen parameters

../../_images/fig_gruneisen2474.png

(b) Phonon dispersion with Grüneisen parameters

Thermal conductivity

3-phonon (LASSO) — q-mesh: 5x17x12, supercell: 1x3x3

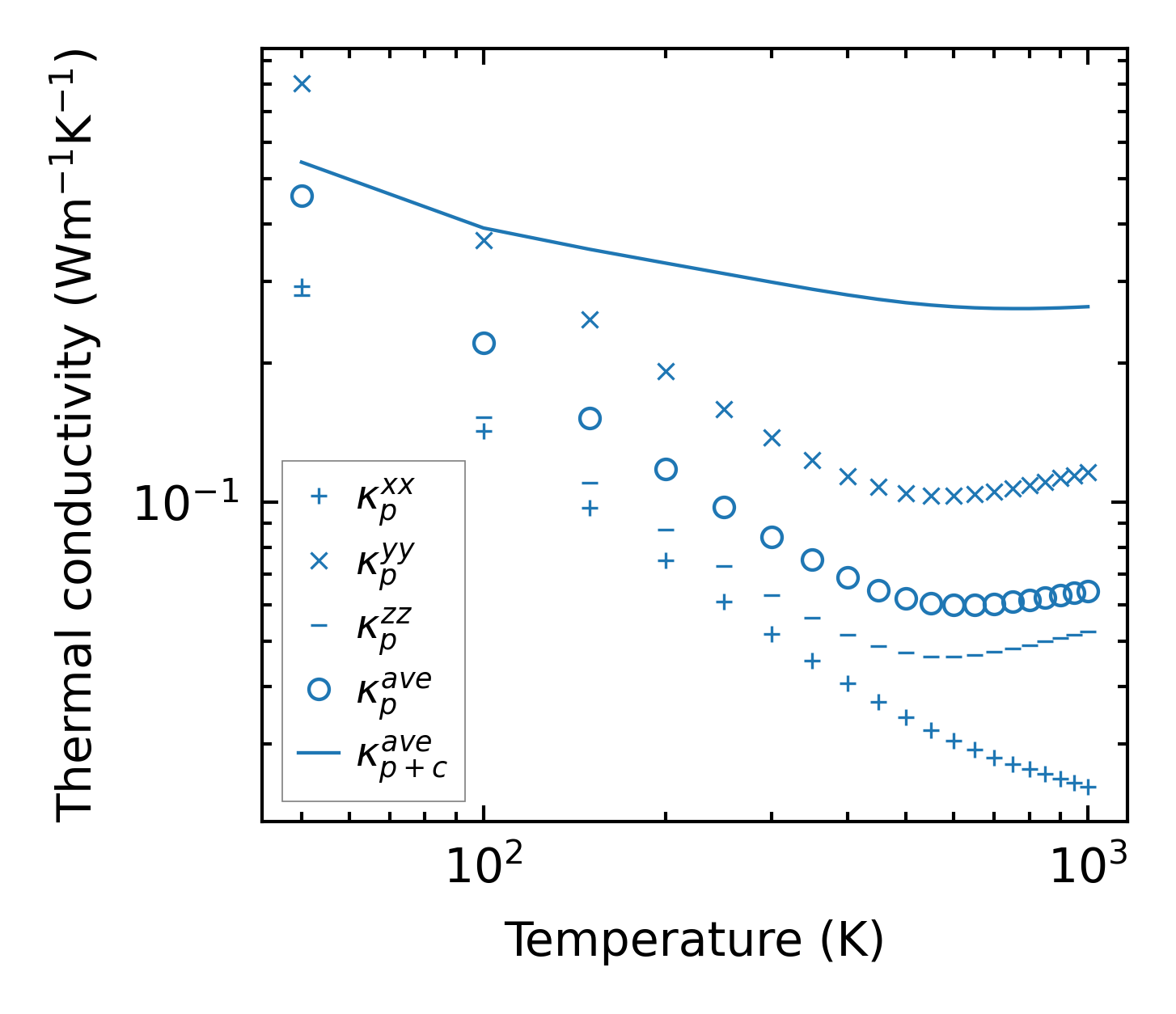
../../_images/fig_kappa4708.png

(a) Temperature-dependent lattice thermal conductivity

../../_images/fig_kappa_vs_grain_size2505.png

(b) Peierls lattice thermal conductivity w.r.t grain size

Phonon lifetime and scattering rates

../../_images/fig_lifetime2457.png

(a) Phonon lifetime due to phonon-phonon scattering

../../_images/fig_scat_rates2456.png

(b) Phonon scattering rates

Cumulative and spectral thermal conductivity

../../_images/fig_cumu_frequency2457.png

(a) Spectral and cumulative thermal conductivity w.r.t frequency

../../_images/fig_cumu_mfp2456.png

(b) Spectral and cumulative thermal conductivity w.r.t MFP

Force constants

../../_images/fig_fc25888.png

(a) Force constants w.r.t atomic distance

Summary

../../_images/fig_kappa4709.png

(a) Temperature-dependent lattice thermal conductivity

../../_images/fig_times11144.png

(b) Computation time