mp-6452/BaSm2ZnO5/anharm

Harmonic properties

../../_images/fig_bandos_pr6423.png

(a) Phonon dispersion with participation ratio and DOS

../../_images/fig_thermo6423.png

(b) Thermodynamic properties

Grüneisen parameters

../../_images/fig_gru_all2617.png

(a) Grüneisen parameters

../../_images/fig_gruneisen2617.png

(b) Phonon dispersion with Grüneisen parameters

Thermal conductivity

3-phonon (LASSO) — q-mesh: 5x12x10, supercell: 1x2x2

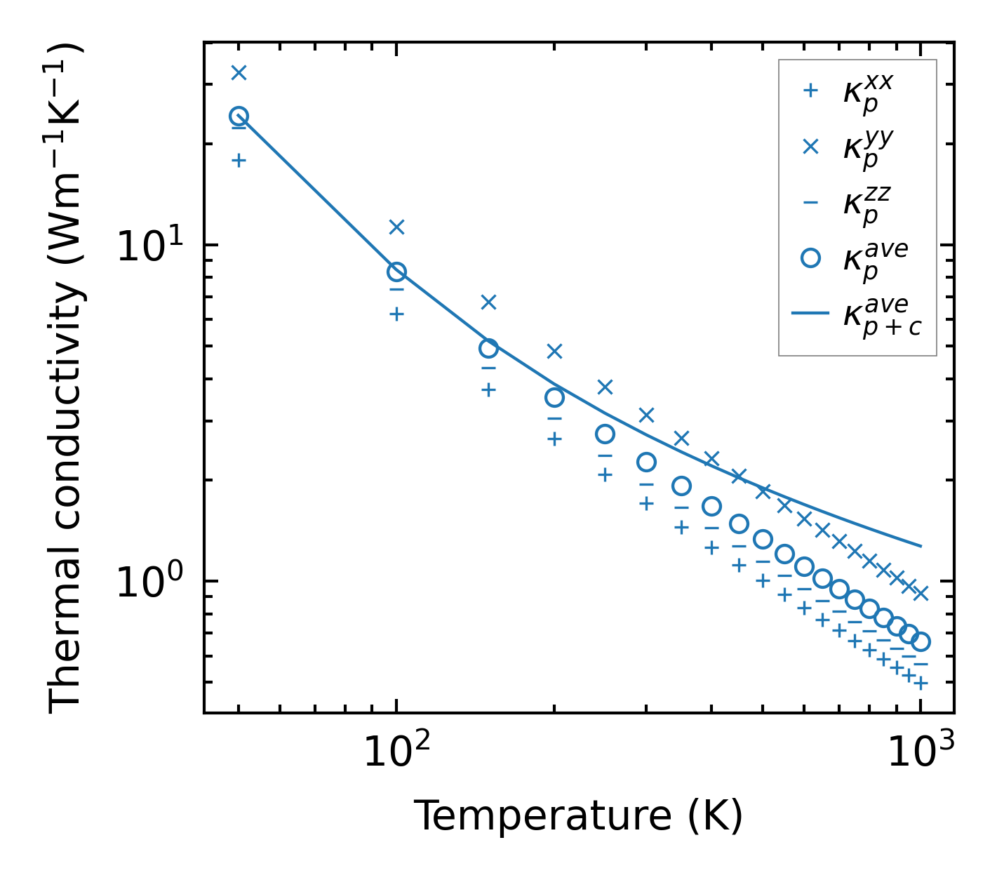
../../_images/fig_kappa4977.png

(a) Temperature-dependent lattice thermal conductivity

../../_images/fig_kappa_vs_grain_size2653.png

(b) Peierls lattice thermal conductivity w.r.t grain size

Phonon lifetime and scattering rates

../../_images/fig_lifetime2595.png

(a) Phonon lifetime due to phonon-phonon scattering

../../_images/fig_scat_rates2594.png

(b) Phonon scattering rates

Cumulative and spectral thermal conductivity

../../_images/fig_cumu_frequency2595.png

(a) Spectral and cumulative thermal conductivity w.r.t frequency

../../_images/fig_cumu_mfp2594.png

(b) Spectral and cumulative thermal conductivity w.r.t MFP

Force constants

../../_images/fig_fc26213.png

(a) Force constants w.r.t atomic distance

Summary

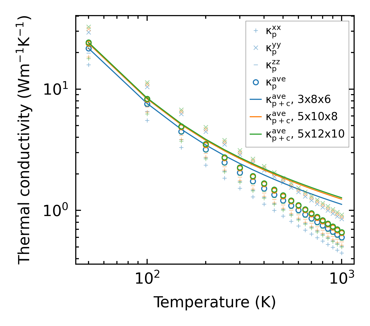
../../_images/fig_kappa4978.png

(a) Temperature-dependent lattice thermal conductivity

../../_images/fig_times11567.png

(b) Computation time