mp-6654-2/Cs2LiGaF6/anharm

Equation of state

../../_images/fig_bm3218.png

(a) Equation of state

Harmonic properties

../../_images/fig_bandos_pr6107.png

(a) Phonon dispersion with participation ratio and DOS

../../_images/fig_bandos8972.png

(b) Phonon dispersion and DOS

../../_images/fig_thermo6107.png

(c) Thermodynamic properties

Grüneisen parameters

../../_images/fig_gru_all2480.png

(a) Grüneisen parameters

../../_images/fig_gruneisen2480.png

(b) Phonon dispersion with Grüneisen parameters

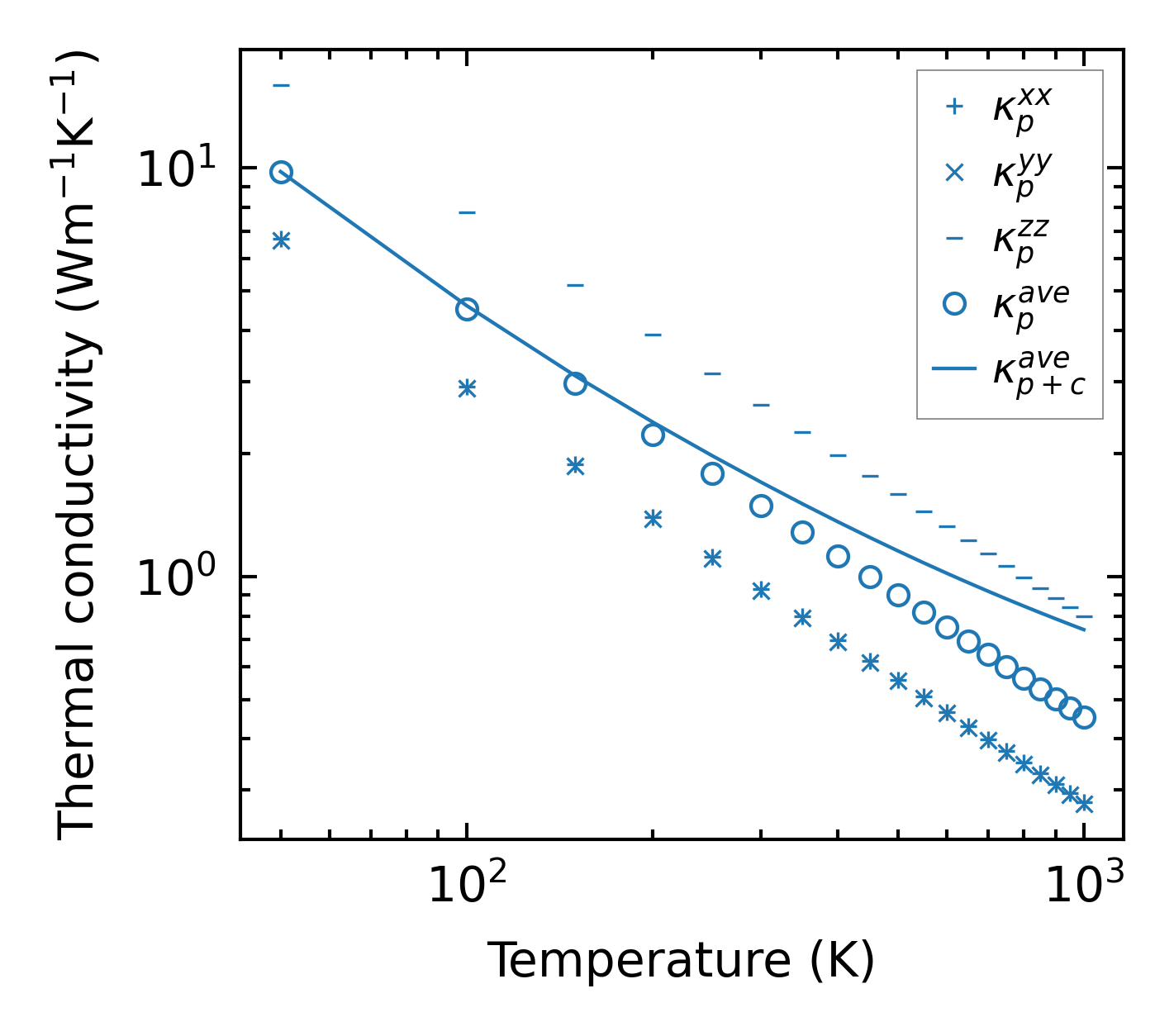
Thermal conductivity

3-phonon (LASSO) — q-mesh: 12x12x14, supercell: 2x2x3

../../_images/fig_kappa4718.png

(a) Temperature-dependent lattice thermal conductivity

../../_images/fig_kappa_vs_grain_size2510.png

(b) Peierls lattice thermal conductivity w.r.t grain size

Phonon lifetime and scattering rates

../../_images/fig_lifetime2462.png

(a) Phonon lifetime due to phonon-phonon scattering

../../_images/fig_scat_rates2461.png

(b) Phonon scattering rates

Cumulative and spectral thermal conductivity

../../_images/fig_cumu_frequency2462.png

(a) Spectral and cumulative thermal conductivity w.r.t frequency

../../_images/fig_cumu_mfp2461.png

(b) Spectral and cumulative thermal conductivity w.r.t MFP

Force constants

../../_images/fig_fc25898.png

(a) Force constants w.r.t atomic distance

Summary

../../_images/fig_kappa4719.png

(a) Temperature-dependent lattice thermal conductivity

../../_images/fig_times11158.png

(b) Computation time