mp-6270/Ba2LiReO6/anharm

Harmonic properties

../../_images/fig_bandos_pr6351.png

(a) Phonon dispersion with participation ratio and DOS

../../_images/fig_thermo6351.png

(b) Thermodynamic properties

Grüneisen parameters

../../_images/fig_gru_all2586.png

(a) Grüneisen parameters

../../_images/fig_gruneisen2586.png

(b) Phonon dispersion with Grüneisen parameters

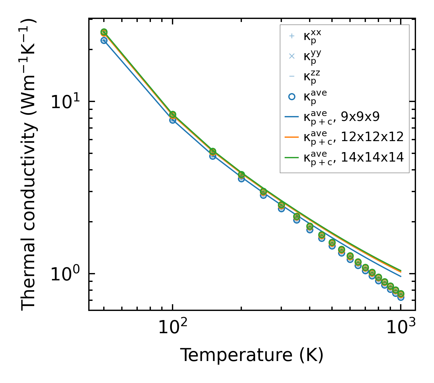
Thermal conductivity

3-phonon (LASSO) — q-mesh: 14x14x14, supercell: 1x1x1

../../_images/fig_kappa4918.png

(a) Temperature-dependent lattice thermal conductivity

../../_images/fig_kappa_vs_grain_size2621.png

(b) Peierls lattice thermal conductivity w.r.t grain size

Force constants

../../_images/fig_fc26141.png

(a) Force constants w.r.t atomic distance

Summary

../../_images/fig_kappa4919.png

(a) Temperature-dependent lattice thermal conductivity

../../_images/fig_times11475.png

(b) Computation time