mp-6625/LaAgSO/anharm

Harmonic properties

../../_images/fig_bandos_pr6094.png

(a) Phonon dispersion with participation ratio and DOS

../../_images/fig_thermo6094.png

(b) Thermodynamic properties

Grüneisen parameters

../../_images/fig_gru_all2473.png

(a) Grüneisen parameters

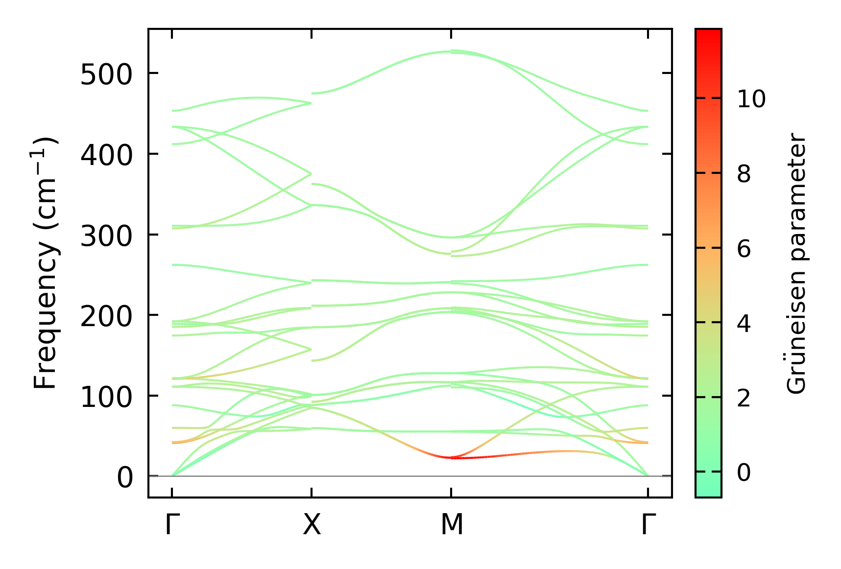
../../_images/fig_gruneisen2473.png

(b) Phonon dispersion with Grüneisen parameters

Thermal conductivity

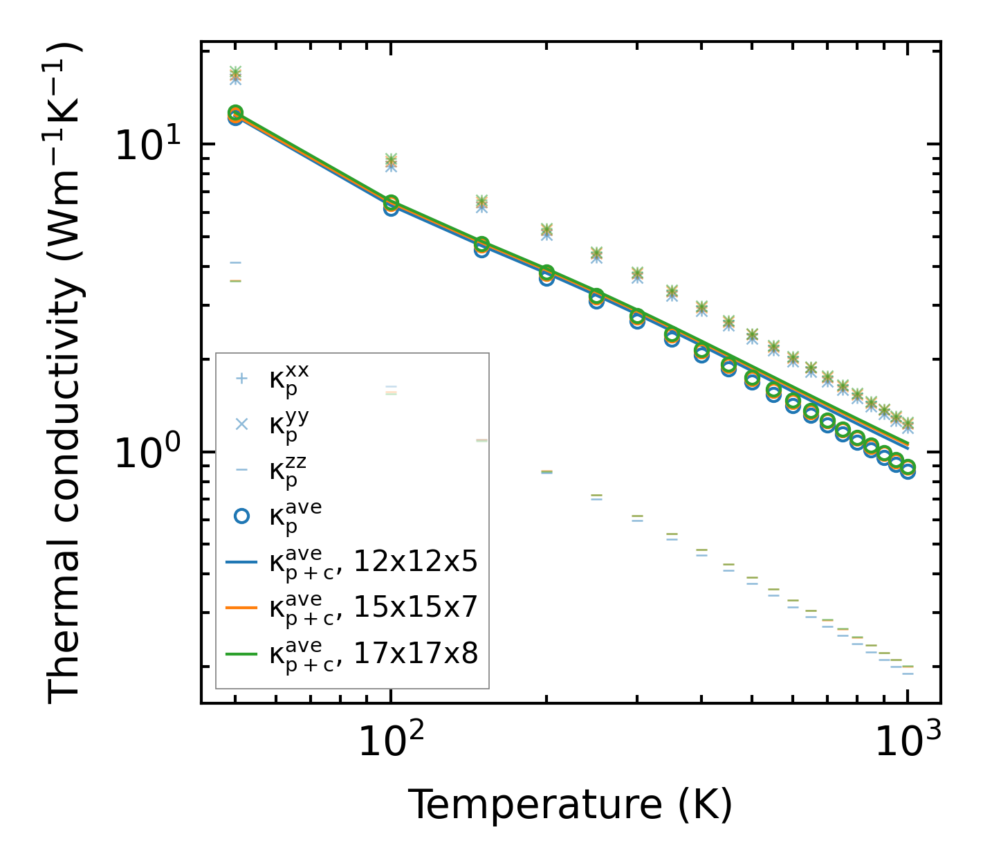
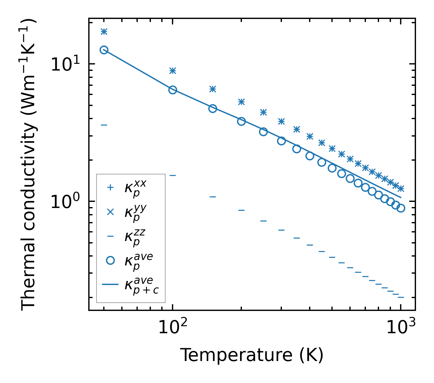
3-phonon (LASSO) — q-mesh: 17x17x8, supercell: 3x3x2

../../_images/fig_kappa4706.png

(a) Temperature-dependent lattice thermal conductivity

../../_images/fig_kappa_vs_grain_size2504.png

(b) Peierls lattice thermal conductivity w.r.t grain size

Phonon lifetime and scattering rates

../../_images/fig_lifetime2456.png

(a) Phonon lifetime due to phonon-phonon scattering

../../_images/fig_scat_rates2455.png

(b) Phonon scattering rates

Cumulative and spectral thermal conductivity

../../_images/fig_cumu_frequency2456.png

(a) Spectral and cumulative thermal conductivity w.r.t frequency

../../_images/fig_cumu_mfp2455.png

(b) Spectral and cumulative thermal conductivity w.r.t MFP

Force constants

../../_images/fig_fc25885.png

(a) Force constants w.r.t atomic distance

Summary

../../_images/fig_kappa4707.png

(a) Temperature-dependent lattice thermal conductivity

../../_images/fig_times11139.png

(b) Computation time