mp-6424/K2ZnC4N4/anharm

Harmonic properties

../../_images/fig_bandos_pr6409.png

(a) Phonon dispersion with participation ratio and DOS

../../_images/fig_thermo6409.png

(b) Thermodynamic properties

Grüneisen parameters

../../_images/fig_gru_all2611.png

(a) Grüneisen parameters

../../_images/fig_gruneisen2611.png

(b) Phonon dispersion with Grüneisen parameters

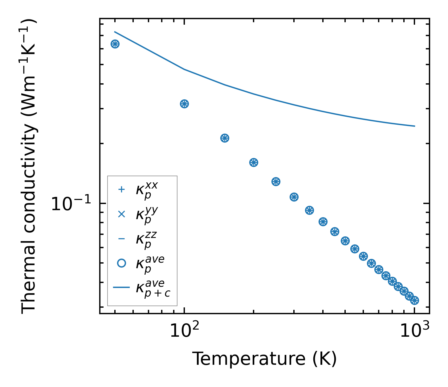
Thermal conductivity

3-phonon (LASSO) — q-mesh: 9x9x9, supercell: 1x1x1

../../_images/fig_kappa4965.png

(a) Temperature-dependent lattice thermal conductivity

../../_images/fig_kappa_vs_grain_size2646.png

(b) Peierls lattice thermal conductivity w.r.t grain size

Phonon lifetime and scattering rates

../../_images/fig_lifetime2589.png

(a) Phonon lifetime due to phonon-phonon scattering

../../_images/fig_scat_rates2588.png

(b) Phonon scattering rates

Cumulative and spectral thermal conductivity

../../_images/fig_cumu_frequency2589.png

(a) Spectral and cumulative thermal conductivity w.r.t frequency

../../_images/fig_cumu_mfp2588.png

(b) Spectral and cumulative thermal conductivity w.r.t MFP

Force constants

../../_images/fig_fc26199.png

(a) Force constants w.r.t atomic distance

Summary

../../_images/fig_kappa4966.png

(a) Temperature-dependent lattice thermal conductivity

../../_images/fig_times11547.png

(b) Computation time