mp-6121/BaY2ZnO5/anharm

Harmonic properties

../../_images/fig_bandos_pr6645.png

(a) Phonon dispersion with participation ratio and DOS

../../_images/fig_thermo6645.png

(b) Thermodynamic properties

Grüneisen parameters

../../_images/fig_gru_all2707.png

(a) Grüneisen parameters

../../_images/fig_gruneisen2707.png

(b) Phonon dispersion with Grüneisen parameters

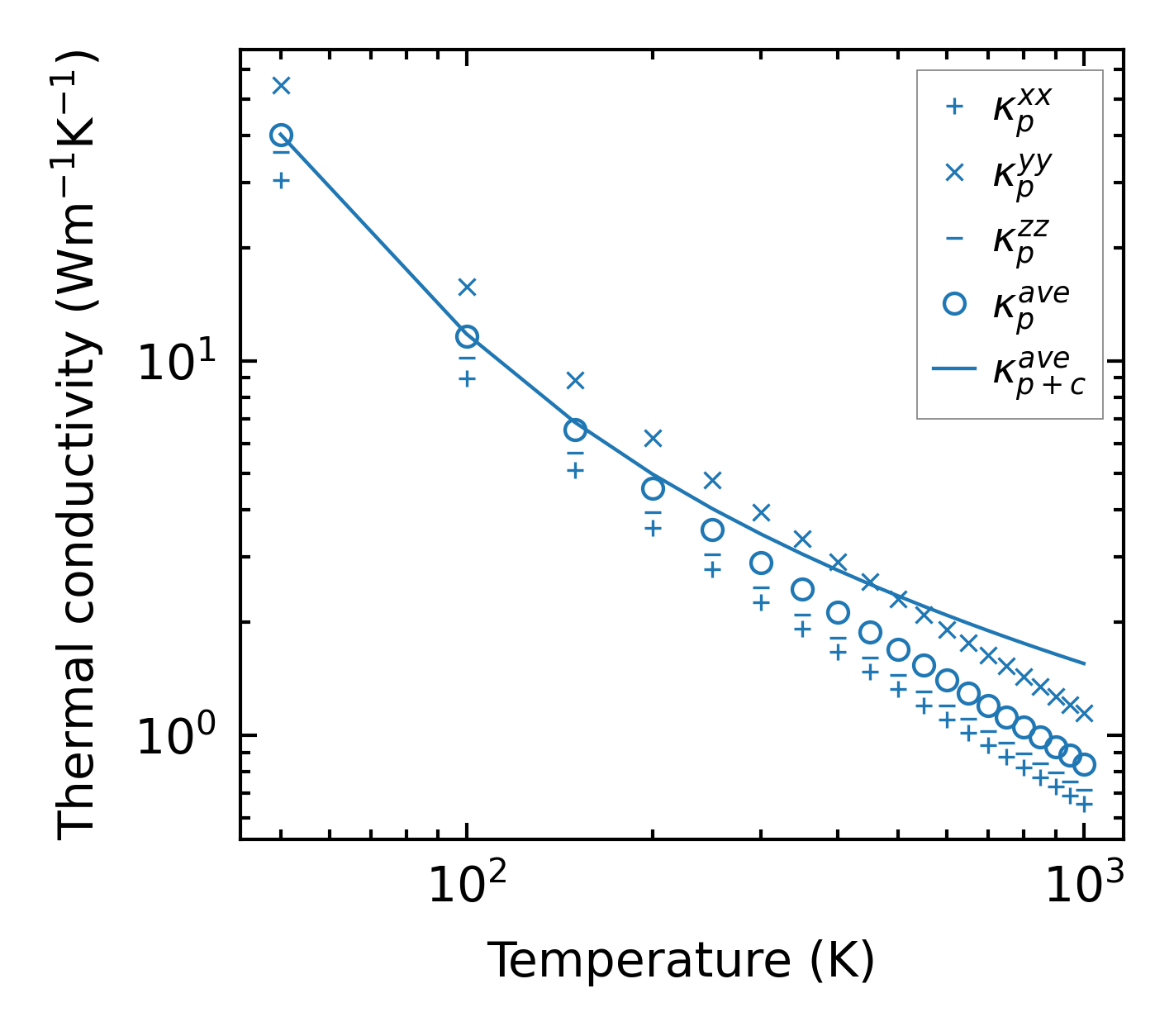
Thermal conductivity

3-phonon (LASSO) — q-mesh: 5x12x10, supercell: 1x2x2

../../_images/fig_kappa5146.png

(a) Temperature-dependent lattice thermal conductivity

../../_images/fig_kappa_vs_grain_size2746.png

(b) Peierls lattice thermal conductivity w.r.t grain size

Phonon lifetime and scattering rates

../../_images/fig_lifetime2683.png

(a) Phonon lifetime due to phonon-phonon scattering

../../_images/fig_scat_rates2682.png

(b) Phonon scattering rates

Cumulative and spectral thermal conductivity

../../_images/fig_cumu_frequency2683.png

(a) Spectral and cumulative thermal conductivity w.r.t frequency

../../_images/fig_cumu_mfp2682.png

(b) Spectral and cumulative thermal conductivity w.r.t MFP

Force constants

../../_images/fig_fc26435.png

(a) Force constants w.r.t atomic distance

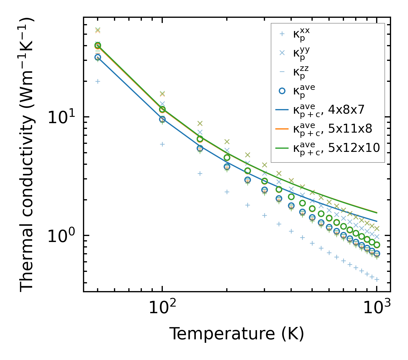
Summary

../../_images/fig_kappa5147.png

(a) Temperature-dependent lattice thermal conductivity

../../_images/fig_times11910.png

(b) Computation time