mp-6204/Cs2NaScF6/anharm

Harmonic properties

../../_images/fig_bandos_pr6309.png

(a) Phonon dispersion with participation ratio and DOS

../../_images/fig_thermo6309.png

(b) Thermodynamic properties

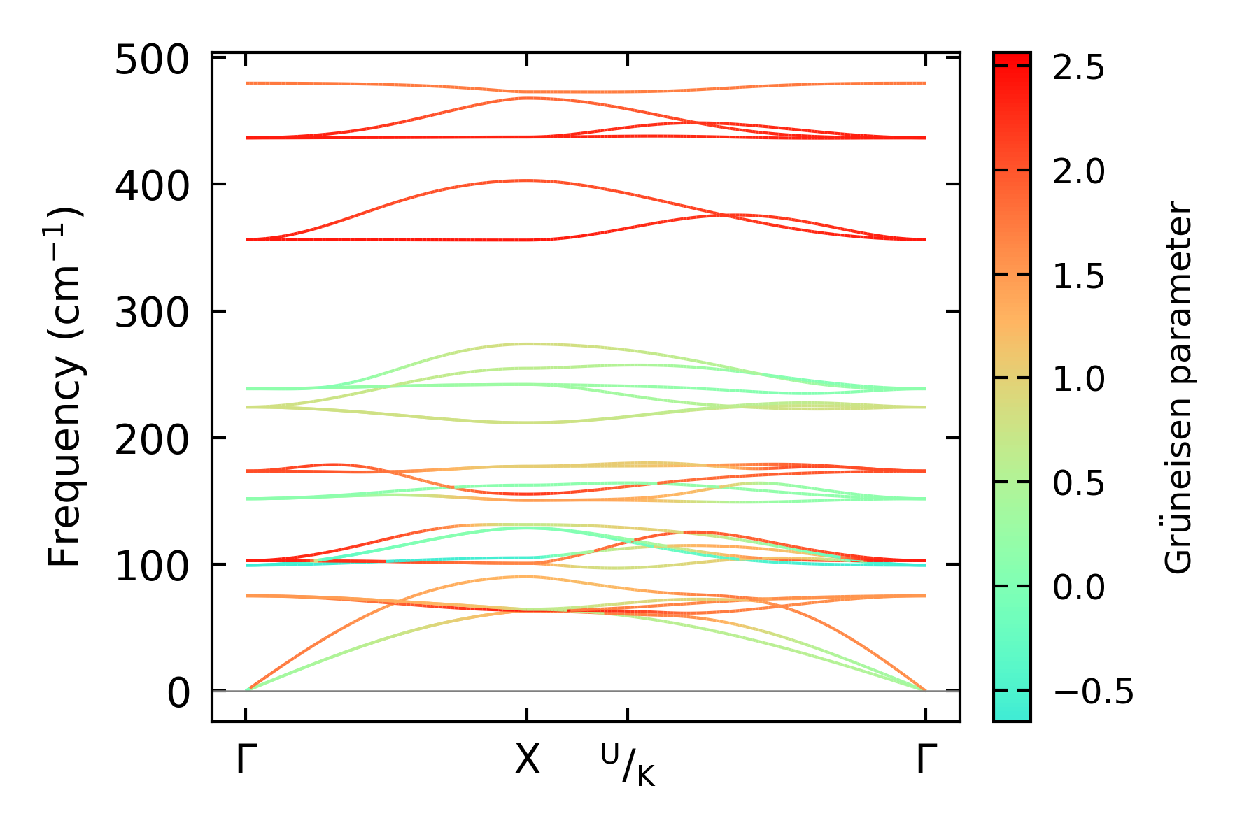
Grüneisen parameters

../../_images/fig_gru_all2571.png

(a) Grüneisen parameters

../../_images/fig_gruneisen2571.png

(b) Phonon dispersion with Grüneisen parameters

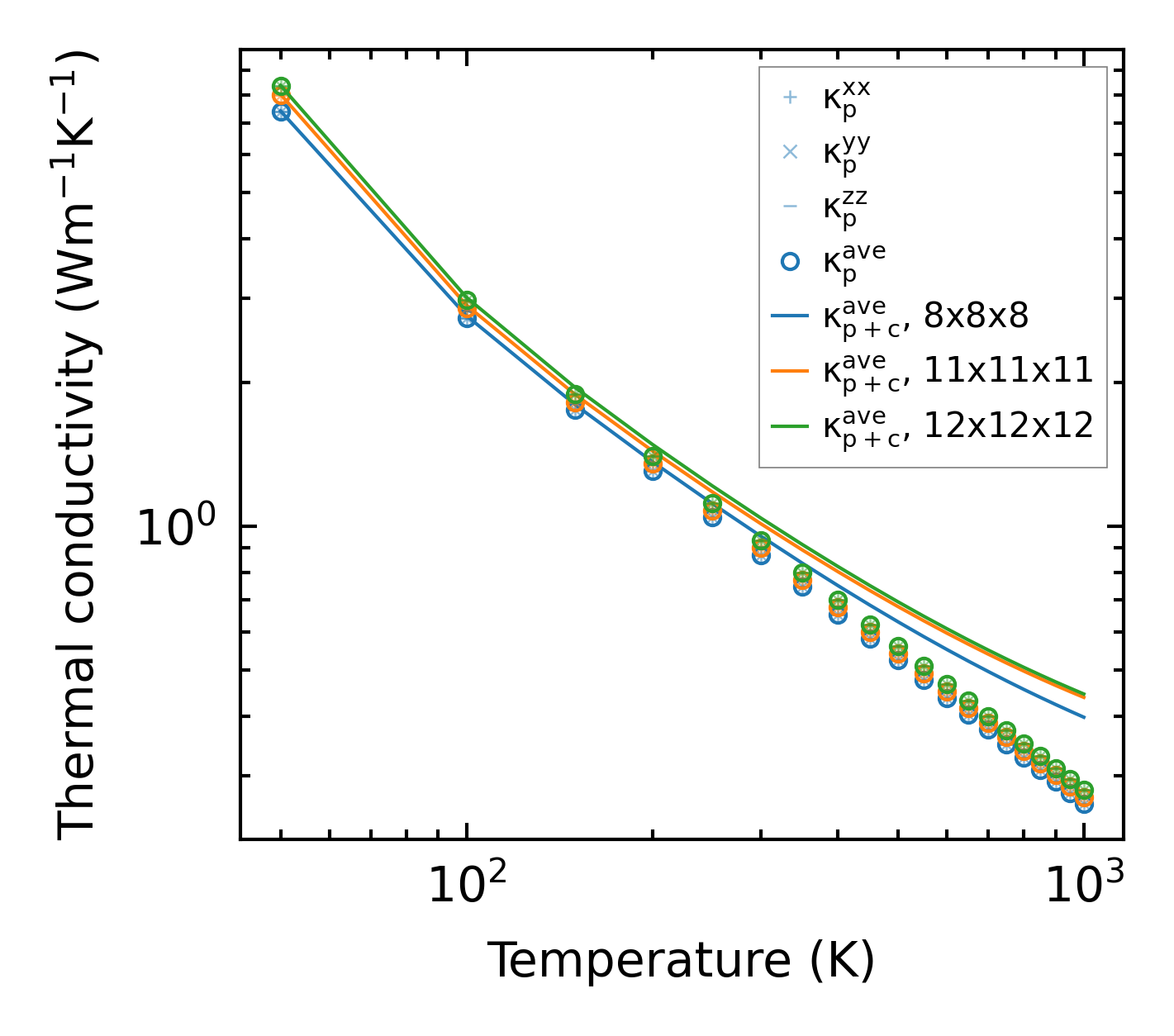
Thermal conductivity

3-phonon (LASSO) — q-mesh: 12x12x12, supercell: 1x1x1

../../_images/fig_kappa4891.png

(a) Temperature-dependent lattice thermal conductivity

../../_images/fig_kappa_vs_grain_size2606.png

(b) Peierls lattice thermal conductivity w.r.t grain size

Force constants

../../_images/fig_fc26099.png

(a) Force constants w.r.t atomic distance

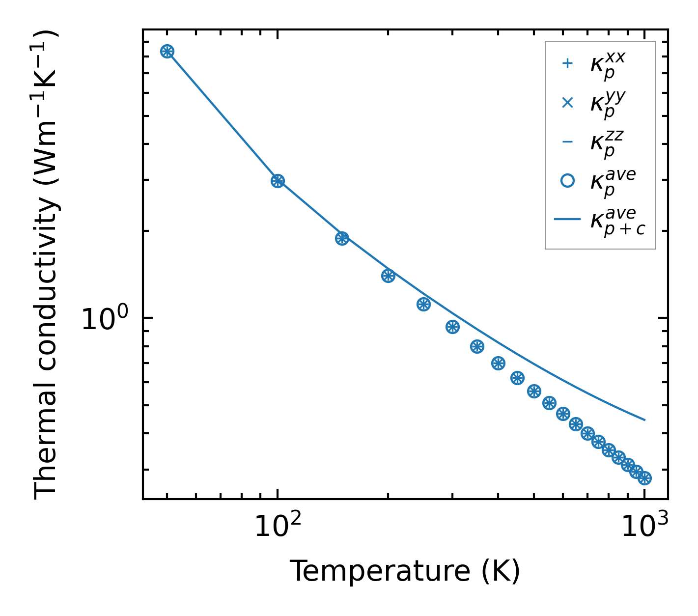
Summary

../../_images/fig_kappa4892.png

(a) Temperature-dependent lattice thermal conductivity

../../_images/fig_times11425.png

(b) Computation time