mp-6511-3/KCSN/anharm

Equation of state

../../_images/fig_bm3418.png

(a) Equation of state

Harmonic properties

../../_images/fig_bandos_pr6455.png

(a) Phonon dispersion with participation ratio and DOS

../../_images/fig_thermo6455.png

(b) Thermodynamic properties

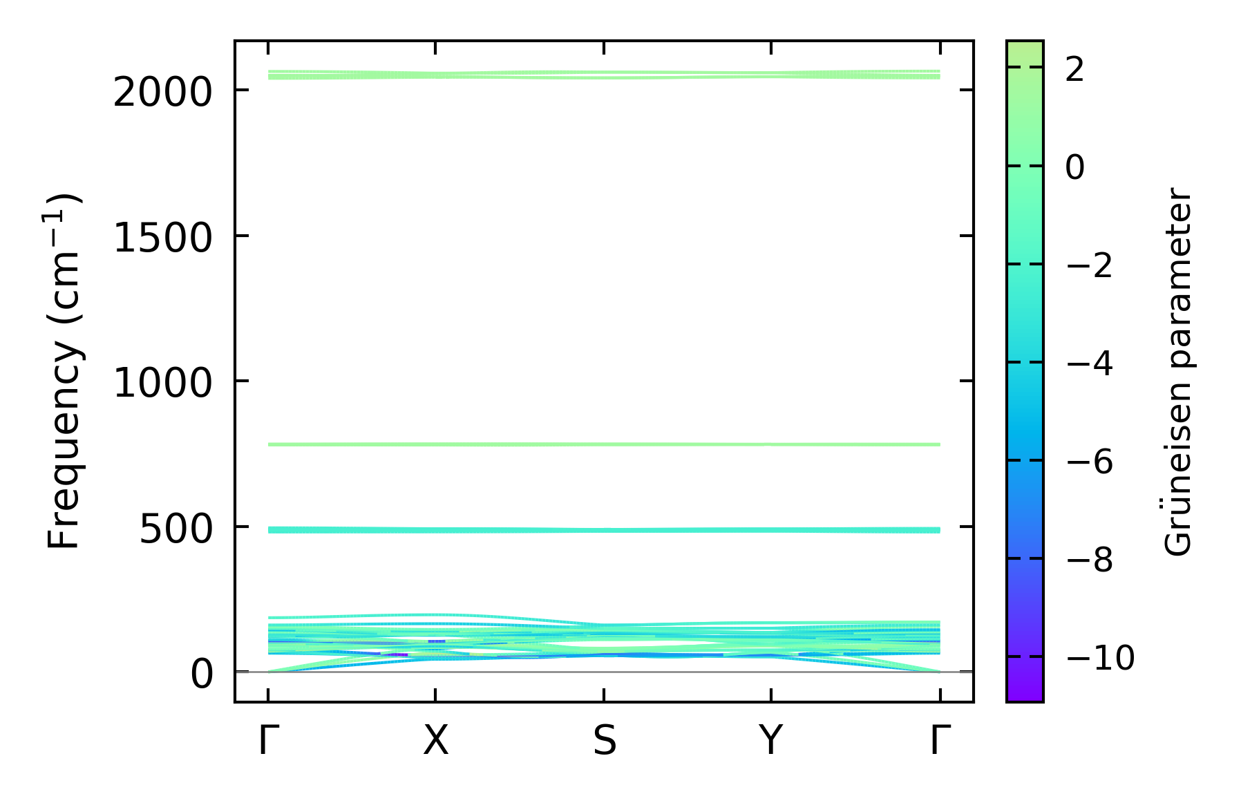
Grüneisen parameters

../../_images/fig_gru_all2634.png

(a) Grüneisen parameters

../../_images/fig_gruneisen2634.png

(b) Phonon dispersion with Grüneisen parameters

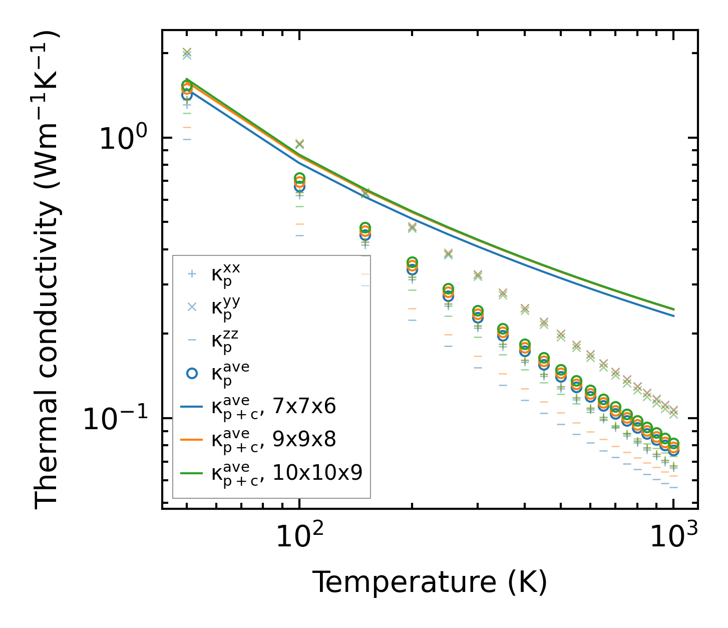
Thermal conductivity

3-phonon (LASSO) — q-mesh: 10x10x9, supercell: 2x2x2

../../_images/fig_kappa5007.png

(a) Temperature-dependent lattice thermal conductivity

../../_images/fig_kappa_vs_grain_size2670.png

(b) Peierls lattice thermal conductivity w.r.t grain size

Phonon lifetime and scattering rates

../../_images/fig_lifetime2612.png

(a) Phonon lifetime due to phonon-phonon scattering

../../_images/fig_scat_rates2611.png

(b) Phonon scattering rates

Cumulative and spectral thermal conductivity

../../_images/fig_cumu_frequency2612.png

(a) Spectral and cumulative thermal conductivity w.r.t frequency

../../_images/fig_cumu_mfp2611.png

(b) Spectral and cumulative thermal conductivity w.r.t MFP

Force constants

../../_images/fig_fc26245.png

(a) Force constants w.r.t atomic distance

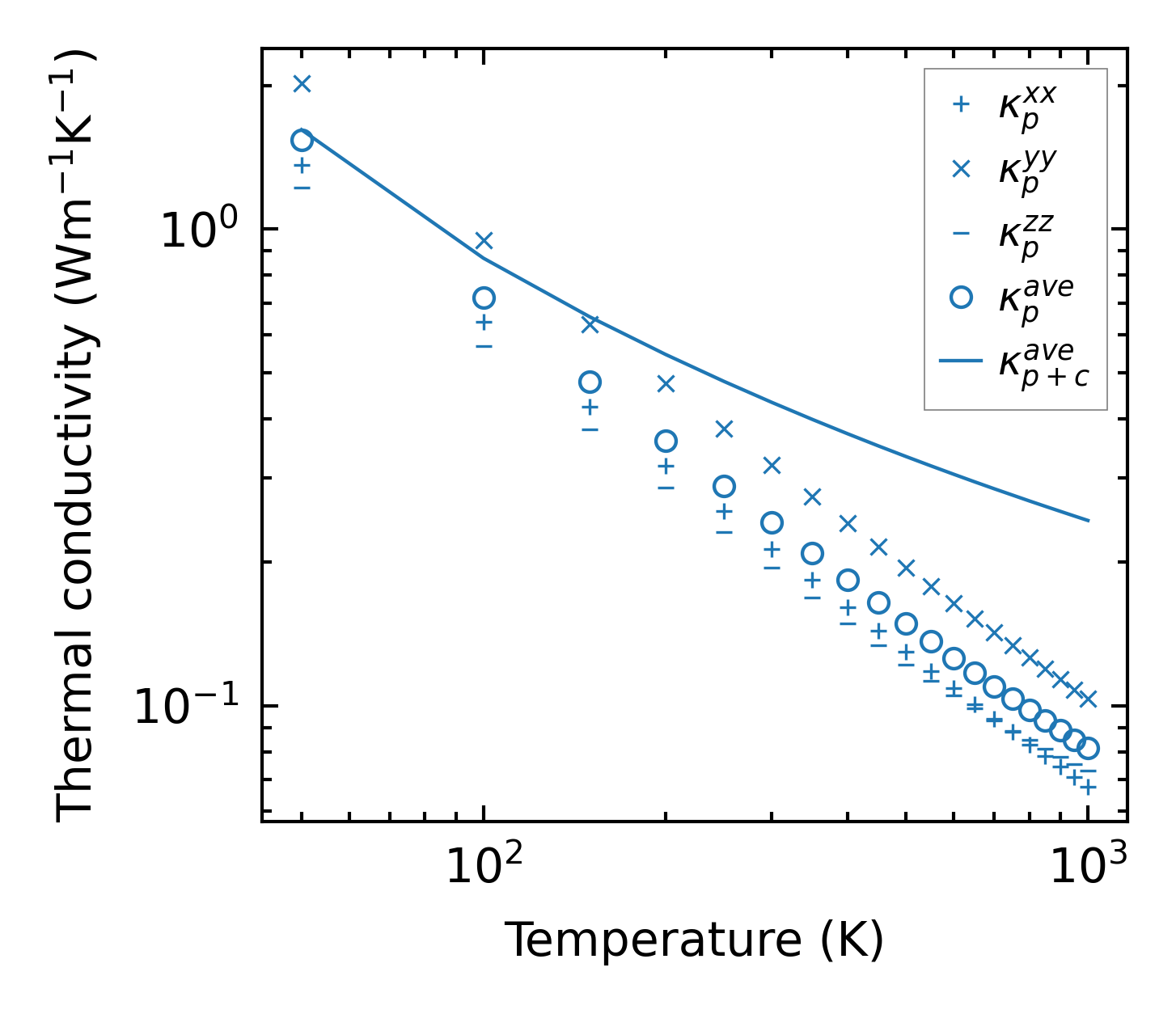
Summary

../../_images/fig_kappa5008.png

(a) Temperature-dependent lattice thermal conductivity

../../_images/fig_times11612.png

(b) Computation time