mp-6017-2/Na3InP2O8/anharm

Equation of state

../../_images/fig_bm3513.png

(a) Equation of state

Harmonic properties

../../_images/fig_bandos_pr6587.png

(a) Phonon dispersion with participation ratio and DOS

../../_images/fig_thermo6587.png

(b) Thermodynamic properties

Grüneisen parameters

../../_images/fig_gru_all2683.png

(a) Grüneisen parameters

../../_images/fig_gruneisen2683.png

(b) Phonon dispersion with Grüneisen parameters

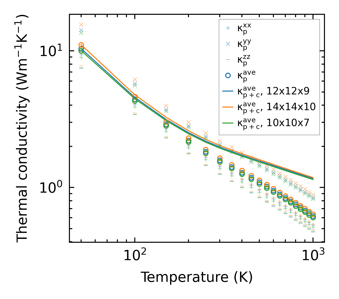
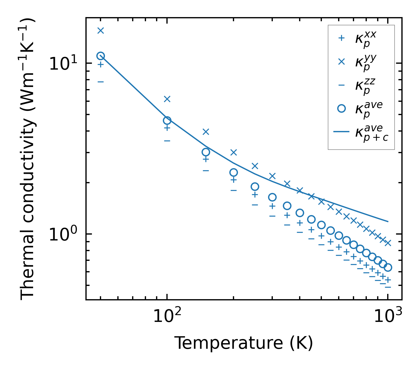
Thermal conductivity

3-phonon (LASSO) — q-mesh: 14x14x10, supercell: 1x2x2

../../_images/fig_kappa5098.png

(a) Temperature-dependent lattice thermal conductivity

../../_images/fig_kappa_vs_grain_size2720.png

(b) Peierls lattice thermal conductivity w.r.t grain size

Phonon lifetime and scattering rates

../../_images/fig_lifetime2659.png

(a) Phonon lifetime due to phonon-phonon scattering

../../_images/fig_scat_rates2658.png

(b) Phonon scattering rates

Cumulative and spectral thermal conductivity

../../_images/fig_cumu_frequency2659.png

(a) Spectral and cumulative thermal conductivity w.r.t frequency

../../_images/fig_cumu_mfp2658.png

(b) Spectral and cumulative thermal conductivity w.r.t MFP

Force constants

../../_images/fig_fc26377.png

(a) Force constants w.r.t atomic distance

Summary

../../_images/fig_kappa5099.png

(a) Temperature-dependent lattice thermal conductivity

../../_images/fig_times11835.png

(b) Computation time