mp-6361-2/NaSr3NbO6/anharm

Equation of state

../../_images/fig_bm3377.png

(a) Equation of state

Harmonic properties

../../_images/fig_bandos_pr6386.png

(a) Phonon dispersion with participation ratio and DOS

../../_images/fig_thermo6386.png

(b) Thermodynamic properties

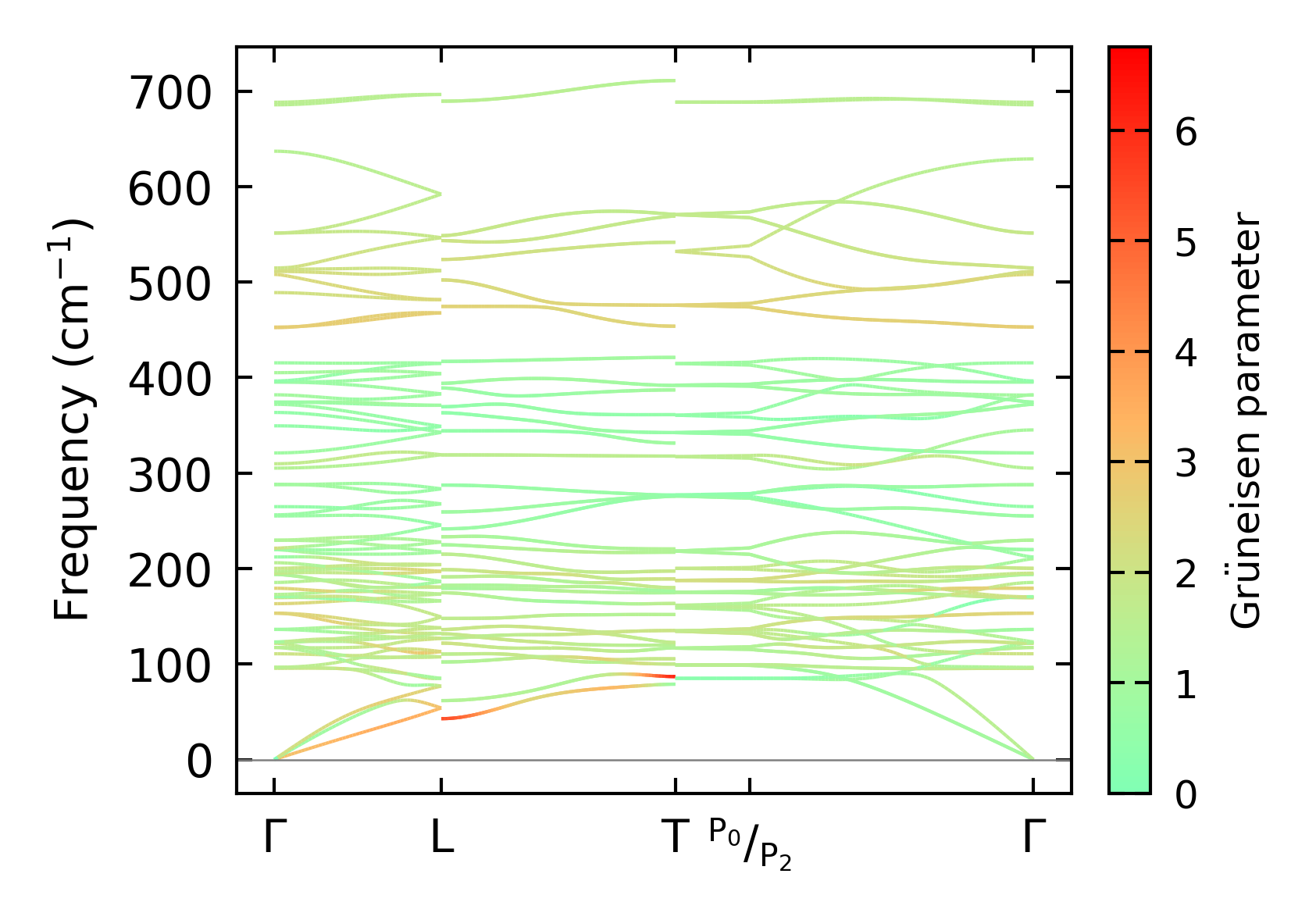
Grüneisen parameters

../../_images/fig_gru_all2602.png

(a) Grüneisen parameters

../../_images/fig_gruneisen2602.png

(b) Phonon dispersion with Grüneisen parameters

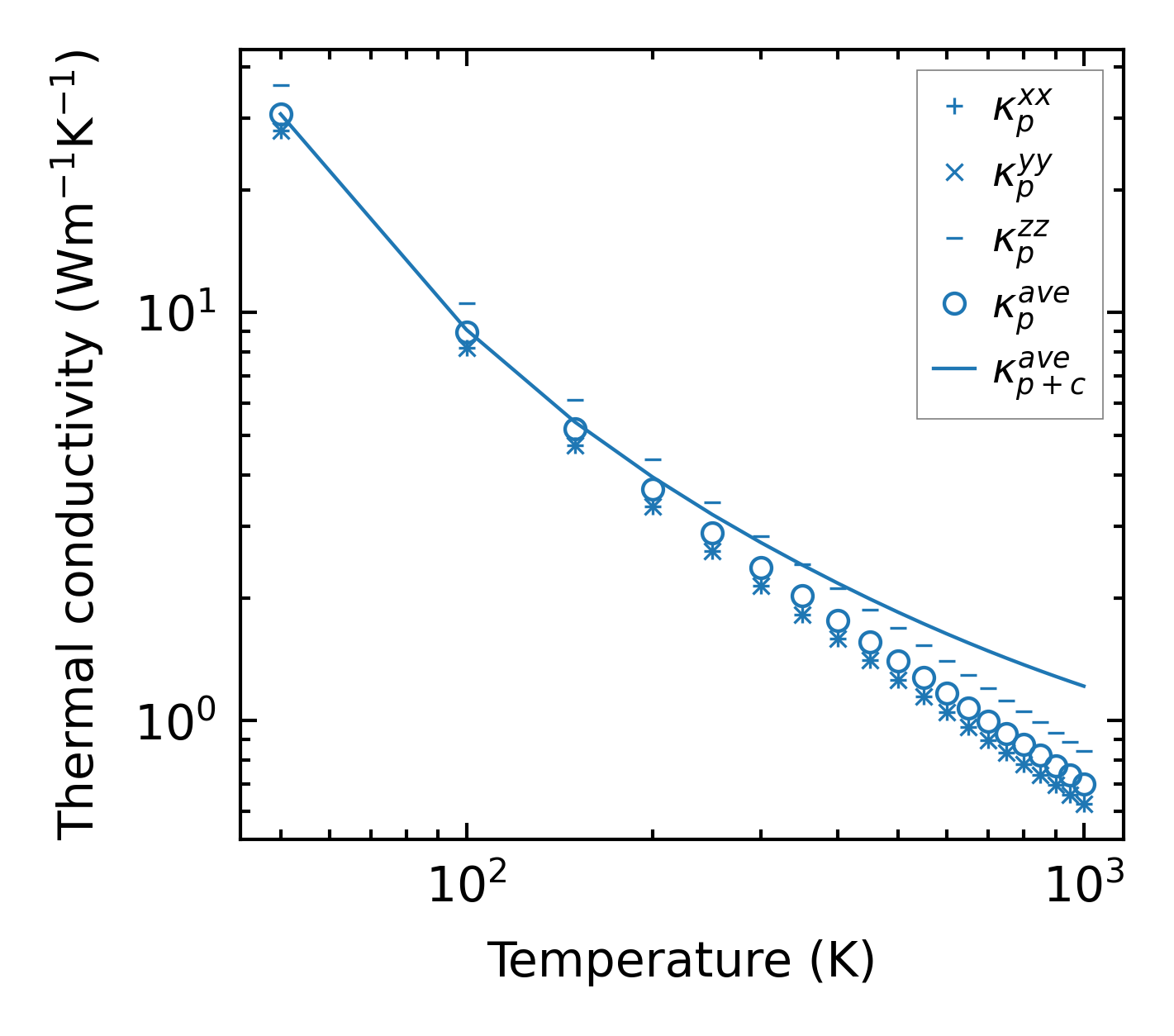
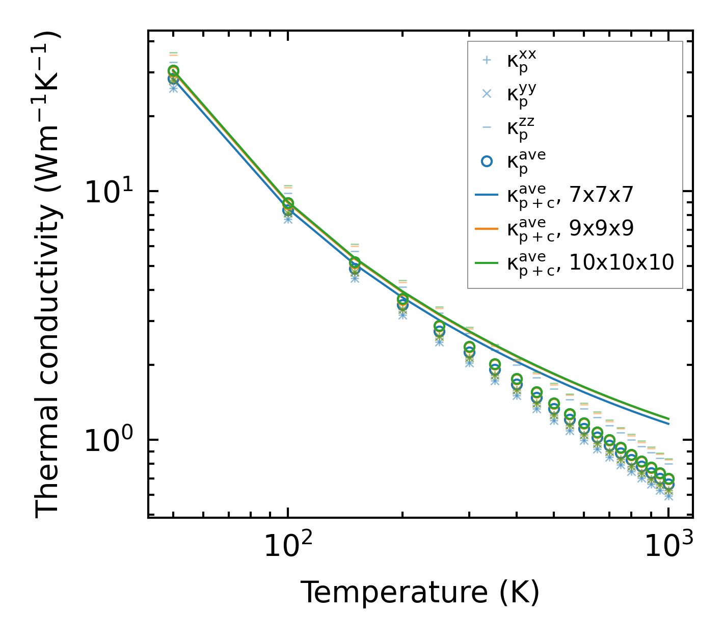
Thermal conductivity

3-phonon (LASSO) — q-mesh: 10x10x10, supercell: 1x1x1

../../_images/fig_kappa4948.png

(a) Temperature-dependent lattice thermal conductivity

../../_images/fig_kappa_vs_grain_size2637.png

(b) Peierls lattice thermal conductivity w.r.t grain size

Phonon lifetime and scattering rates

../../_images/fig_lifetime2580.png

(a) Phonon lifetime due to phonon-phonon scattering

../../_images/fig_scat_rates2579.png

(b) Phonon scattering rates

Cumulative and spectral thermal conductivity

../../_images/fig_cumu_frequency2580.png

(a) Spectral and cumulative thermal conductivity w.r.t frequency

../../_images/fig_cumu_mfp2579.png

(b) Spectral and cumulative thermal conductivity w.r.t MFP

Force constants

../../_images/fig_fc26176.png

(a) Force constants w.r.t atomic distance

Summary

../../_images/fig_kappa4949.png

(a) Temperature-dependent lattice thermal conductivity

../../_images/fig_times11517.png

(b) Computation time