mp-6712-2/NaLuGeO4/anharm

Equation of state

../../_images/fig_bm3236.png

(a) Equation of state

Harmonic properties

../../_images/fig_bandos_pr6139.png

(a) Phonon dispersion with participation ratio and DOS

../../_images/fig_thermo6139.png

(b) Thermodynamic properties

Grüneisen parameters

../../_images/fig_gru_all2491.png

(a) Grüneisen parameters

../../_images/fig_gruneisen2491.png

(b) Phonon dispersion with Grüneisen parameters

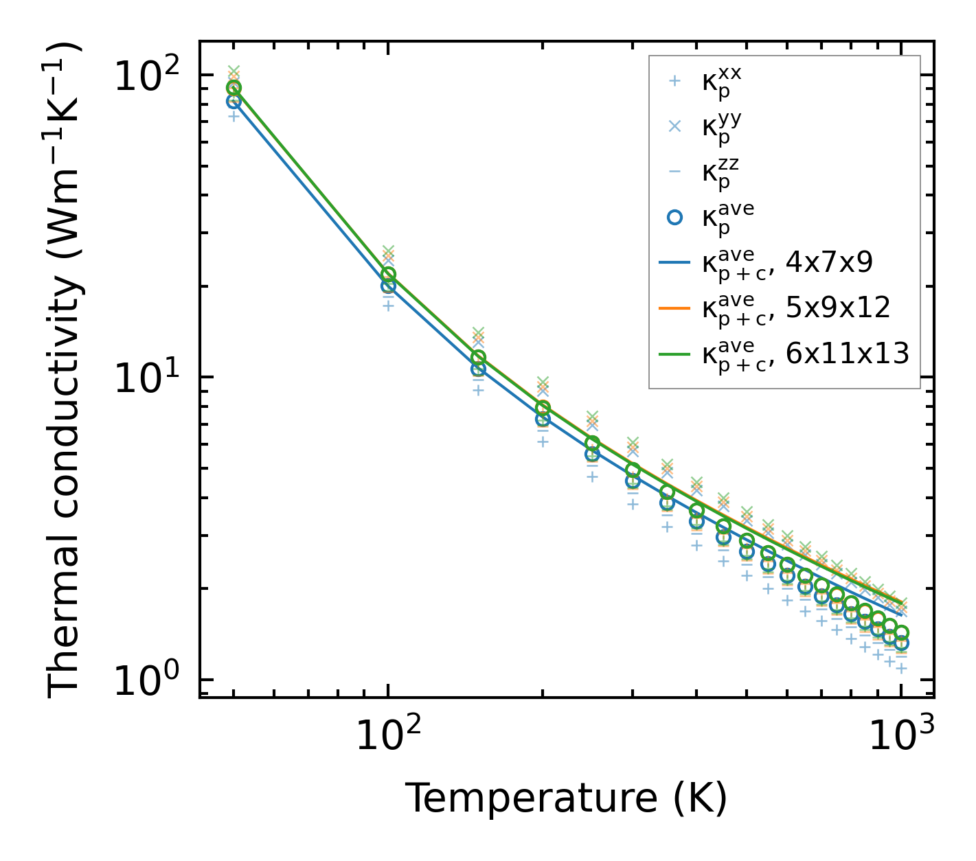
Thermal conductivity

3-phonon (LASSO) — q-mesh: 6x11x13, supercell: 1x2x2

../../_images/fig_kappa4740.png

(a) Temperature-dependent lattice thermal conductivity

../../_images/fig_kappa_vs_grain_size2521.png

(b) Peierls lattice thermal conductivity w.r.t grain size

Phonon lifetime and scattering rates

../../_images/fig_lifetime2473.png

(a) Phonon lifetime due to phonon-phonon scattering

../../_images/fig_scat_rates2472.png

(b) Phonon scattering rates

Cumulative and spectral thermal conductivity

../../_images/fig_cumu_frequency2473.png

(a) Spectral and cumulative thermal conductivity w.r.t frequency

../../_images/fig_cumu_mfp2472.png

(b) Spectral and cumulative thermal conductivity w.r.t MFP

Force constants

../../_images/fig_fc25930.png

(a) Force constants w.r.t atomic distance

Summary

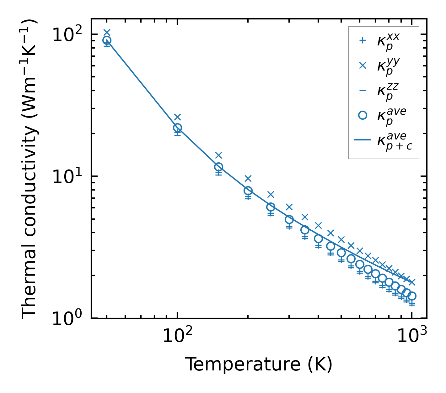
../../_images/fig_kappa4741.png

(a) Temperature-dependent lattice thermal conductivity

../../_images/fig_times11198.png

(b) Computation time