mp-6494-2/K2CaC2O6/anharm

Equation of state

../../_images/fig_bm3410.png

(a) Equation of state

Harmonic properties

../../_images/fig_bandos_pr6445.png

(a) Phonon dispersion with participation ratio and DOS

../../_images/fig_thermo6445.png

(b) Thermodynamic properties

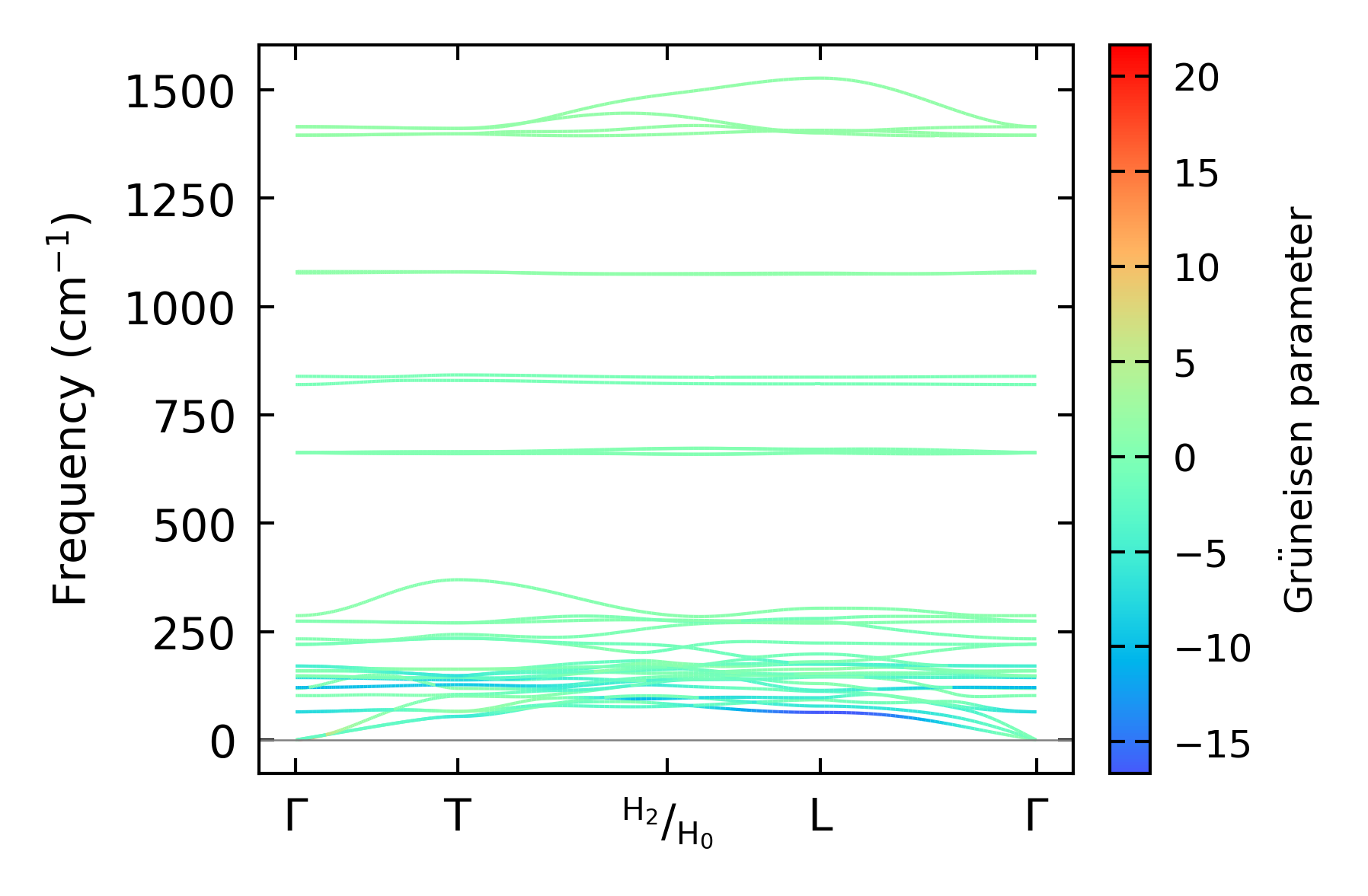
Grüneisen parameters

../../_images/fig_gru_all2628.png

(a) Grüneisen parameters

../../_images/fig_gruneisen2628.png

(b) Phonon dispersion with Grüneisen parameters

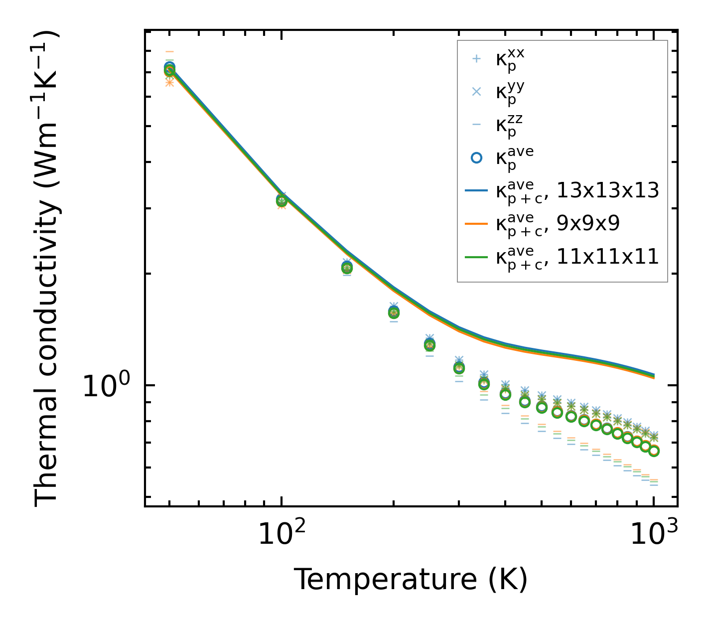
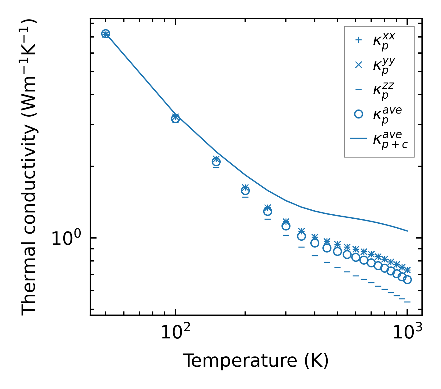
Thermal conductivity

3-phonon (LASSO) — q-mesh: 13x13x13, supercell: 2x2x1

../../_images/fig_kappa4996.png

(a) Temperature-dependent lattice thermal conductivity

../../_images/fig_kappa_vs_grain_size2664.png

(b) Peierls lattice thermal conductivity w.r.t grain size

Phonon lifetime and scattering rates

../../_images/fig_lifetime2606.png

(a) Phonon lifetime due to phonon-phonon scattering

../../_images/fig_scat_rates2605.png

(b) Phonon scattering rates

Cumulative and spectral thermal conductivity

../../_images/fig_cumu_frequency2606.png

(a) Spectral and cumulative thermal conductivity w.r.t frequency

../../_images/fig_cumu_mfp2605.png

(b) Spectral and cumulative thermal conductivity w.r.t MFP

Force constants

../../_images/fig_fc26235.png

(a) Force constants w.r.t atomic distance

Summary

../../_images/fig_kappa4997.png

(a) Temperature-dependent lattice thermal conductivity

../../_images/fig_times11596.png

(b) Computation time