mp-6075-2/Ba2LiB5O10/anharm

Equation of state

../../_images/fig_bm3532.png

(a) Equation of state

Harmonic properties

../../_images/fig_bandos_pr6627.png

(a) Phonon dispersion with participation ratio and DOS

../../_images/fig_bandos9511.png

(b) Phonon dispersion and DOS

../../_images/fig_thermo6627.png

(c) Thermodynamic properties

Grüneisen parameters

../../_images/fig_gru_all2701.png

(a) Grüneisen parameters

../../_images/fig_gruneisen2701.png

(b) Phonon dispersion with Grüneisen parameters

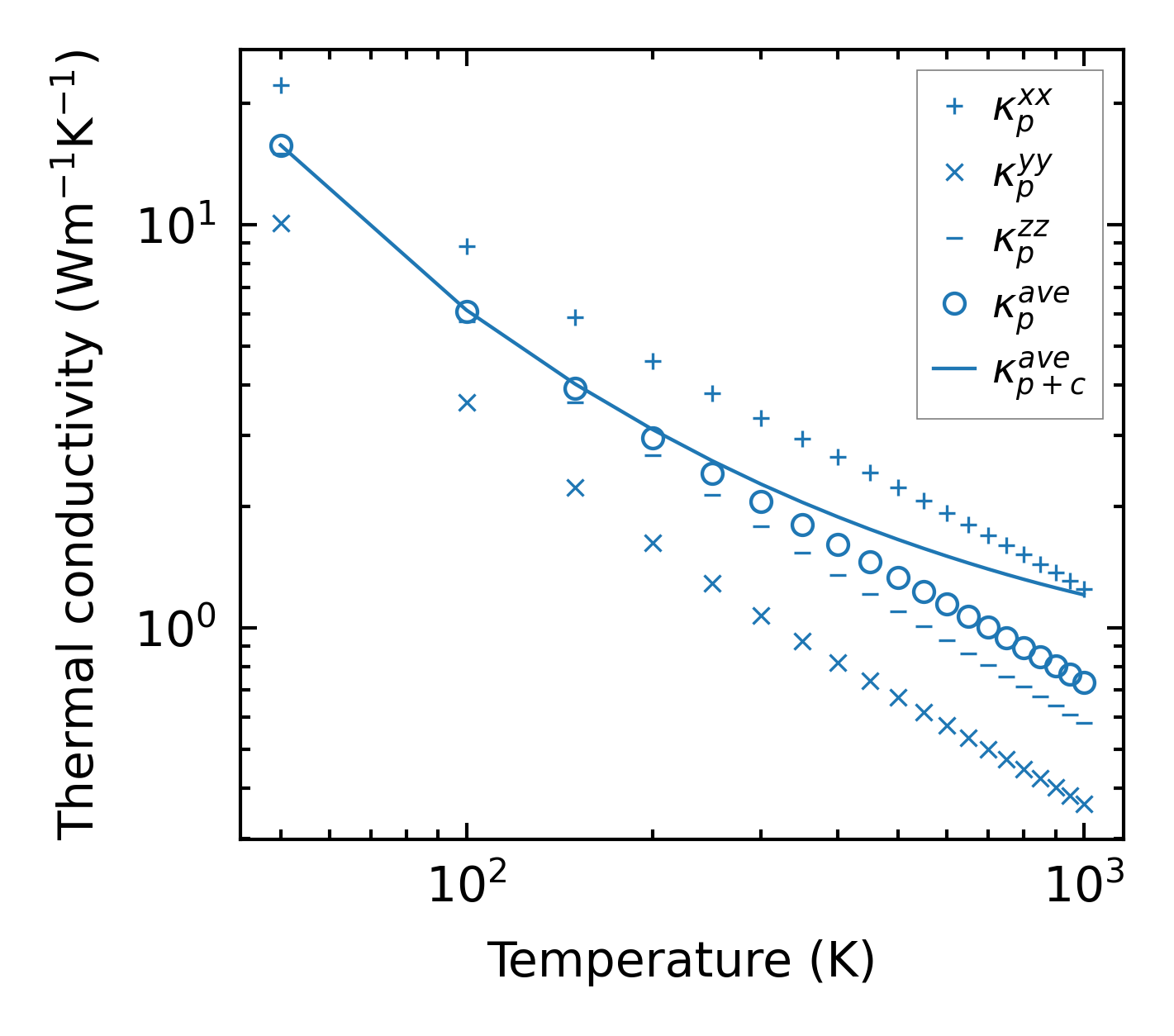
Thermal conductivity

3-phonon (LASSO), supercell 3x1x2 — q-mesh: 16x4x10, supercell: 3x1x2

../../_images/fig_kappa5135.png

(a) Temperature-dependent lattice thermal conductivity

../../_images/fig_kappa_vs_grain_size2740.png

(b) Peierls lattice thermal conductivity w.r.t grain size

Phonon lifetime and scattering rates

../../_images/fig_lifetime2677.png

(a) Phonon lifetime due to phonon-phonon scattering

../../_images/fig_scat_rates2676.png

(b) Phonon scattering rates

Cumulative and spectral thermal conductivity

../../_images/fig_cumu_frequency2677.png

(a) Spectral and cumulative thermal conductivity w.r.t frequency

../../_images/fig_cumu_mfp2676.png

(b) Spectral and cumulative thermal conductivity w.r.t MFP

Force constants

../../_images/fig_fc26417.png

(a) Force constants w.r.t atomic distance

Summary

../../_images/fig_times11878.png

(a) Computation time