mp-6949/InF3/anharm

Harmonic properties

../../_images/fig_bandos_pr6223.png

(a) Phonon dispersion with participation ratio and DOS

../../_images/fig_thermo6223.png

(b) Thermodynamic properties

Grüneisen parameters

../../_images/fig_gru_all2529.png

(a) Grüneisen parameters

../../_images/fig_gruneisen2529.png

(b) Phonon dispersion with Grüneisen parameters

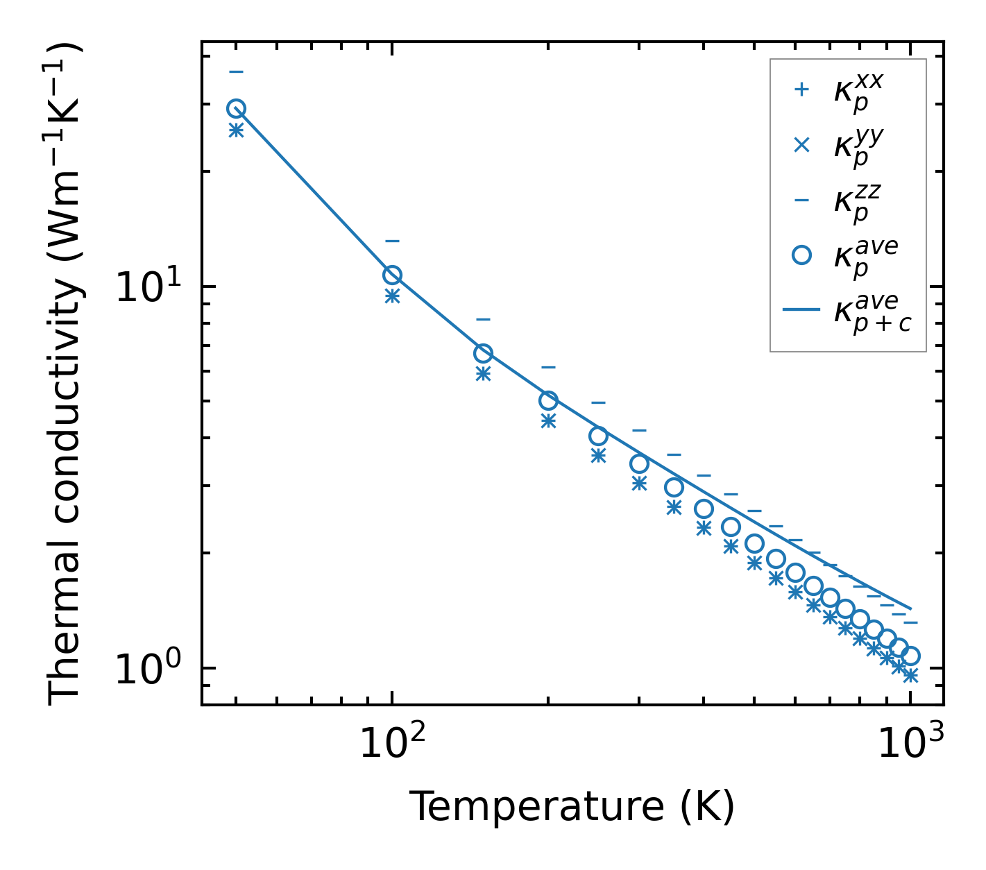
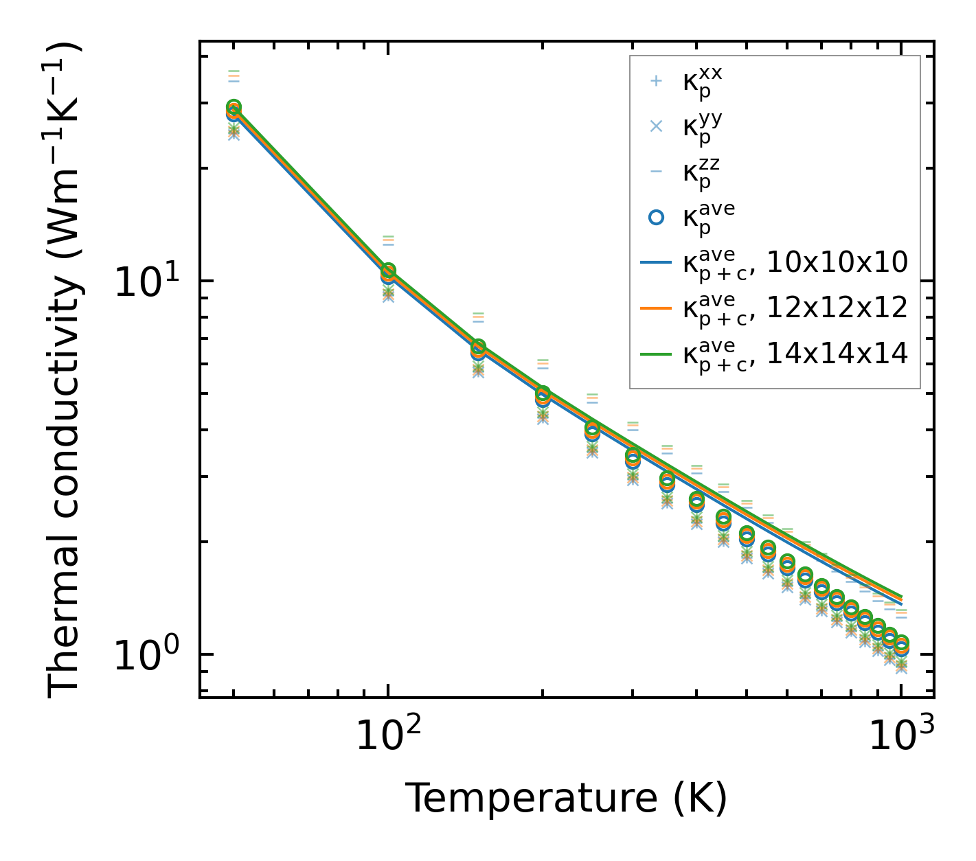
Thermal conductivity

3-phonon (LASSO) — q-mesh: 14x14x14, supercell: 2x2x1

../../_images/fig_kappa4811.png

(a) Temperature-dependent lattice thermal conductivity

../../_images/fig_kappa_vs_grain_size2562.png

(b) Peierls lattice thermal conductivity w.r.t grain size

Phonon lifetime and scattering rates

../../_images/fig_lifetime2511.png

(a) Phonon lifetime due to phonon-phonon scattering

../../_images/fig_scat_rates2510.png

(b) Phonon scattering rates

Cumulative and spectral thermal conductivity

../../_images/fig_cumu_frequency2511.png

(a) Spectral and cumulative thermal conductivity w.r.t frequency

../../_images/fig_cumu_mfp2510.png

(b) Spectral and cumulative thermal conductivity w.r.t MFP

Force constants

../../_images/fig_fc26013.png

(a) Force constants w.r.t atomic distance

Summary

../../_images/fig_kappa4812.png

(a) Temperature-dependent lattice thermal conductivity

../../_images/fig_times11308.png

(b) Computation time