mp-6980-2/ScCuS2/anharm

Harmonic properties

../../_images/fig_bandos_pr6235.png

(a) Phonon dispersion with participation ratio and DOS

../../_images/fig_thermo6235.png

(b) Thermodynamic properties

Grüneisen parameters

../../_images/fig_gru_all2539.png

(a) Grüneisen parameters

../../_images/fig_gruneisen2539.png

(b) Phonon dispersion with Grüneisen parameters

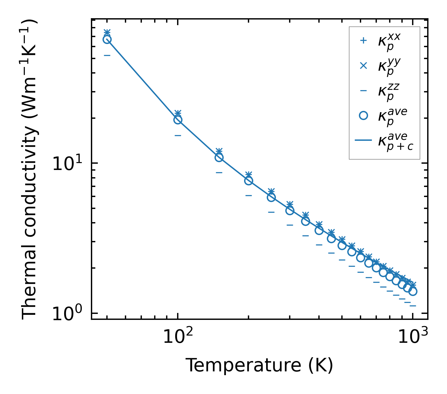
Thermal conductivity

3-phonon (LASSO) — q-mesh: 20x20x12, supercell: 4x4x2

../../_images/fig_kappa4832.png

(a) Temperature-dependent lattice thermal conductivity

../../_images/fig_kappa_vs_grain_size2573.png

(b) Peierls lattice thermal conductivity w.r.t grain size

Phonon lifetime and scattering rates

../../_images/fig_lifetime2520.png

(a) Phonon lifetime due to phonon-phonon scattering

../../_images/fig_scat_rates2519.png

(b) Phonon scattering rates

Cumulative and spectral thermal conductivity

../../_images/fig_cumu_frequency2520.png

(a) Spectral and cumulative thermal conductivity w.r.t frequency

../../_images/fig_cumu_mfp2519.png

(b) Spectral and cumulative thermal conductivity w.r.t MFP

Force constants

../../_images/fig_fc26025.png

(a) Force constants w.r.t atomic distance

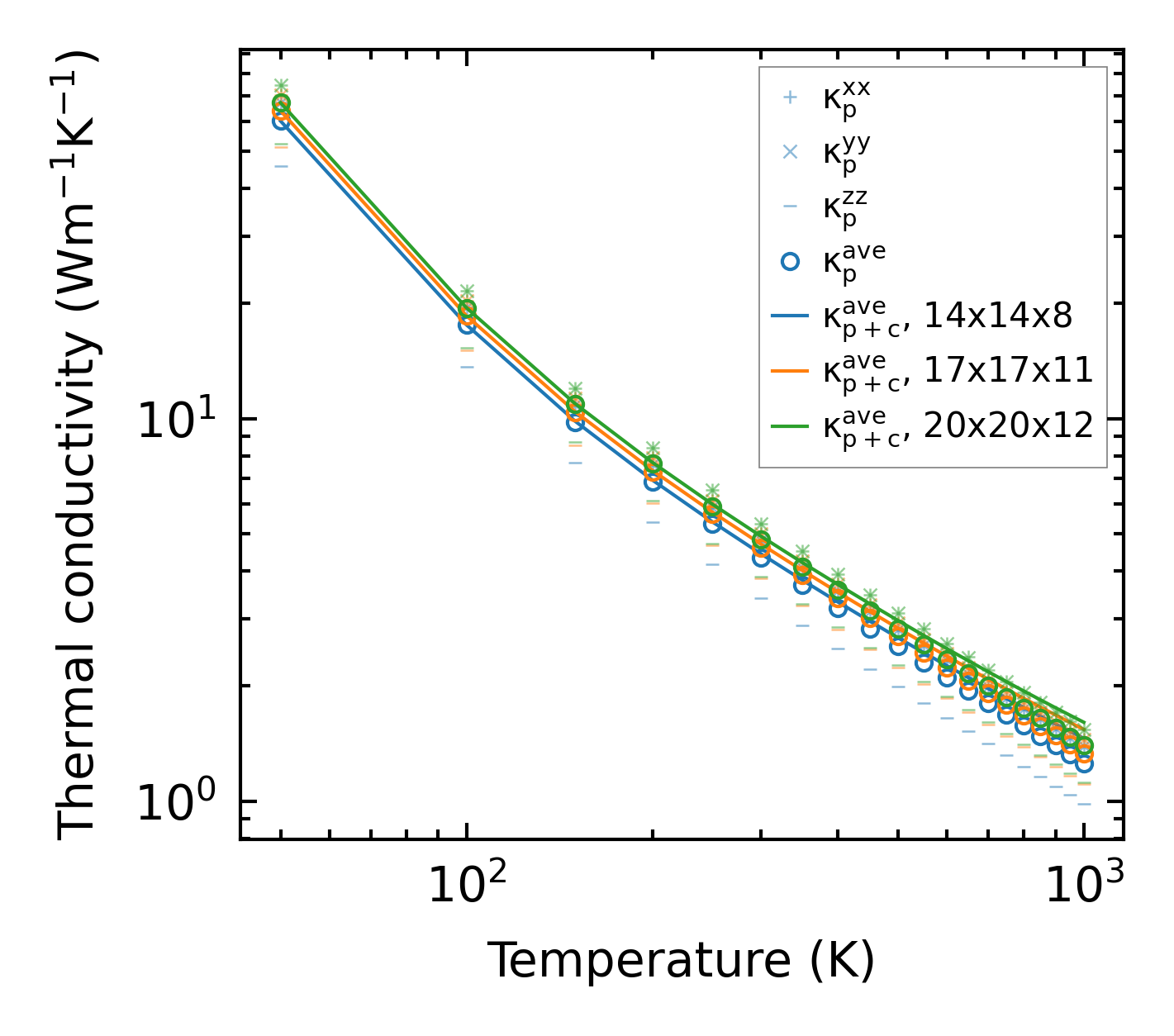
Summary

../../_images/fig_kappa4833.png

(a) Temperature-dependent lattice thermal conductivity

../../_images/fig_times11326.png

(b) Computation time