mp-6051-2/K2HgC4N4/anharm

Equation of state

../../_images/fig_bm3524.png

(a) Equation of state

Harmonic properties

../../_images/fig_bandos_pr6608.png

(a) Phonon dispersion with participation ratio and DOS

../../_images/fig_thermo6608.png

(b) Thermodynamic properties

Grüneisen parameters

../../_images/fig_gru_all2693.png

(a) Grüneisen parameters

../../_images/fig_gruneisen2693.png

(b) Phonon dispersion with Grüneisen parameters

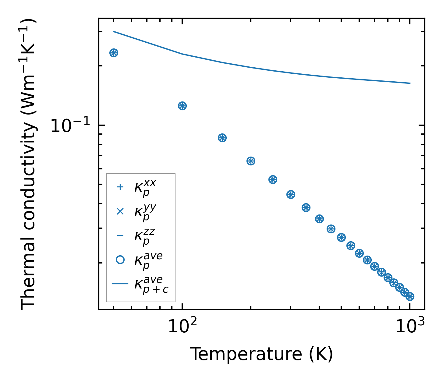
Thermal conductivity

3-phonon (LASSO) — q-mesh: 8x8x8, supercell: 1x1x1

../../_images/fig_kappa5119.png

(a) Temperature-dependent lattice thermal conductivity

../../_images/fig_kappa_vs_grain_size2732.png

(b) Peierls lattice thermal conductivity w.r.t grain size

Phonon lifetime and scattering rates

../../_images/fig_lifetime2669.png

(a) Phonon lifetime due to phonon-phonon scattering

../../_images/fig_scat_rates2668.png

(b) Phonon scattering rates

Cumulative and spectral thermal conductivity

../../_images/fig_cumu_frequency2669.png

(a) Spectral and cumulative thermal conductivity w.r.t frequency

../../_images/fig_cumu_mfp2668.png

(b) Spectral and cumulative thermal conductivity w.r.t MFP

Force constants

../../_images/fig_fc26398.png

(a) Force constants w.r.t atomic distance

Summary

../../_images/fig_kappa5120.png

(a) Temperature-dependent lattice thermal conductivity

../../_images/fig_times11858.png

(b) Computation time