mp-6231/Ba2ErSbO6/anharm

Harmonic properties

../../_images/fig_bandos_pr6321.png

(a) Phonon dispersion with participation ratio and DOS

../../_images/fig_thermo6321.png

(b) Thermodynamic properties

Grüneisen parameters

../../_images/fig_gru_all2577.png

(a) Grüneisen parameters

../../_images/fig_gruneisen2577.png

(b) Phonon dispersion with Grüneisen parameters

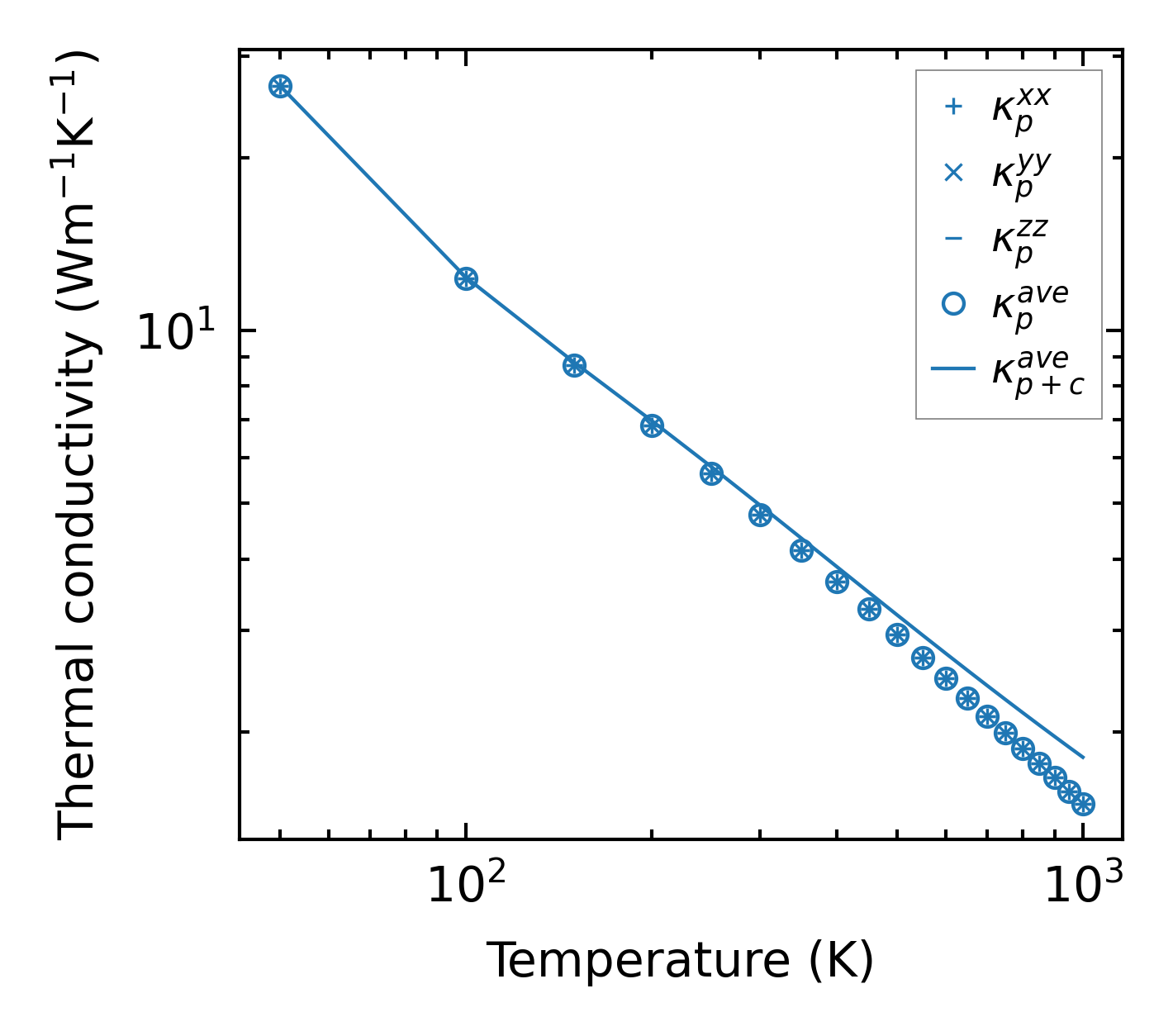
Thermal conductivity

3-phonon (LASSO) — q-mesh: 13x13x13, supercell: 1x1x1

../../_images/fig_kappa4902.png

(a) Temperature-dependent lattice thermal conductivity

../../_images/fig_kappa_vs_grain_size2612.png

(b) Peierls lattice thermal conductivity w.r.t grain size

Force constants

../../_images/fig_fc26111.png

(a) Force constants w.r.t atomic distance

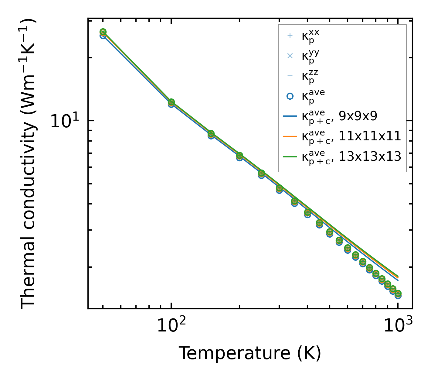
Summary

../../_images/fig_kappa4903.png

(a) Temperature-dependent lattice thermal conductivity

../../_images/fig_times11441.png

(b) Computation time