mp-6678/KHgSbS3/anharm

Equation of state

../../_images/fig_bm3225.png

(a) Equation of state

Harmonic properties

../../_images/fig_bandos_pr6119.png

(a) Phonon dispersion with participation ratio and DOS

../../_images/fig_thermo6119.png

(b) Thermodynamic properties

Grüneisen parameters

../../_images/fig_gru_all2483.png

(a) Grüneisen parameters

../../_images/fig_gruneisen2483.png

(b) Phonon dispersion with Grüneisen parameters

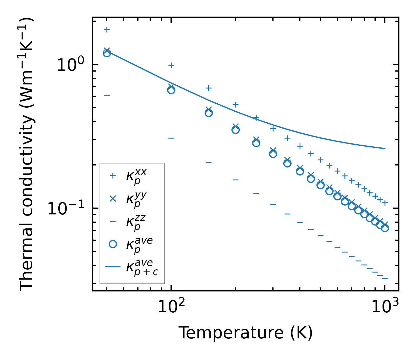
Thermal conductivity

3-phonon (LASSO) — q-mesh: 11x11x4, supercell: 2x1x1

../../_images/fig_kappa4724.png

(a) Temperature-dependent lattice thermal conductivity

../../_images/fig_kappa_vs_grain_size2513.png

(b) Peierls lattice thermal conductivity w.r.t grain size

Phonon lifetime and scattering rates

../../_images/fig_lifetime2465.png

(a) Phonon lifetime due to phonon-phonon scattering

../../_images/fig_scat_rates2464.png

(b) Phonon scattering rates

Cumulative and spectral thermal conductivity

../../_images/fig_cumu_frequency2465.png

(a) Spectral and cumulative thermal conductivity w.r.t frequency

../../_images/fig_cumu_mfp2464.png

(b) Spectral and cumulative thermal conductivity w.r.t MFP

Force constants

../../_images/fig_fc25910.png

(a) Force constants w.r.t atomic distance

Summary

../../_images/fig_kappa4725.png

(a) Temperature-dependent lattice thermal conductivity

../../_images/fig_times11172.png

(b) Computation time