mp-6300-2/RbHgSbSe3/anharm

Equation of state

../../_images/fig_bm3365.png

(a) Equation of state

Harmonic properties

../../_images/fig_bandos_pr6368.png

(a) Phonon dispersion with participation ratio and DOS

../../_images/fig_thermo6368.png

(b) Thermodynamic properties

Grüneisen parameters

../../_images/fig_gru_all2595.png

(a) Grüneisen parameters

../../_images/fig_gruneisen2595.png

(b) Phonon dispersion with Grüneisen parameters

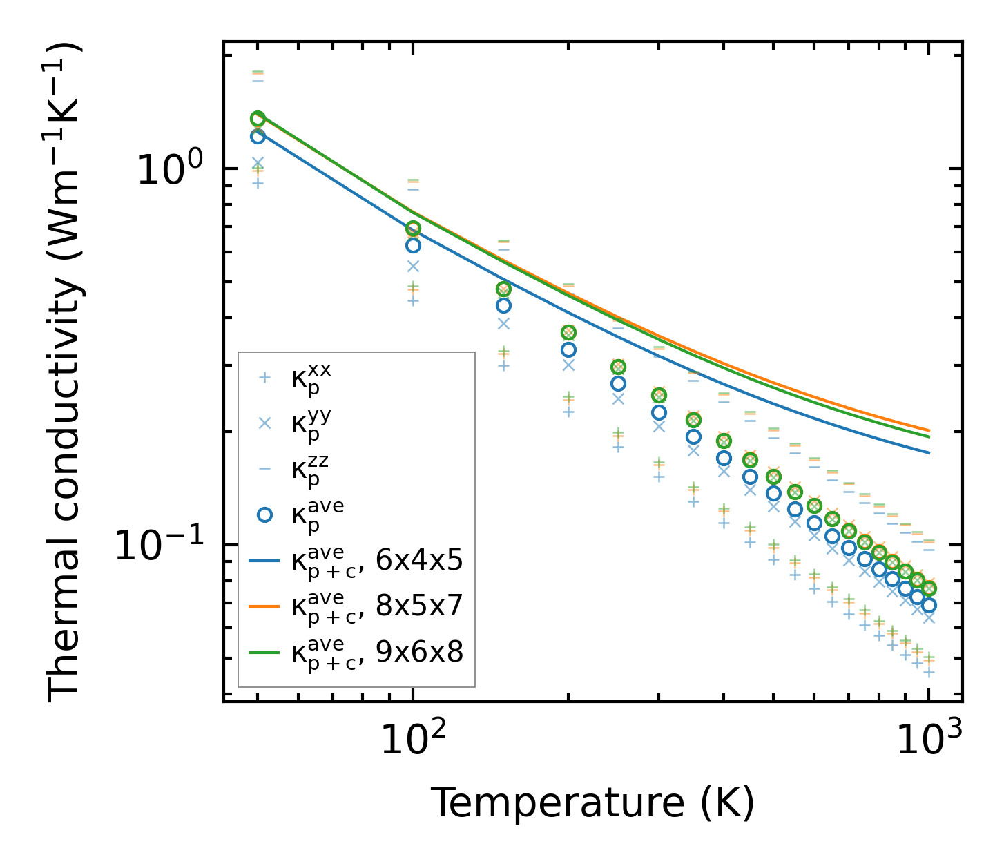
Thermal conductivity

3-phonon (LASSO) — q-mesh: 9x6x8, supercell: 2x1x2

../../_images/fig_kappa4935.png

(a) Temperature-dependent lattice thermal conductivity

../../_images/fig_kappa_vs_grain_size2630.png

(b) Peierls lattice thermal conductivity w.r.t grain size

Phonon lifetime and scattering rates

../../_images/fig_lifetime2573.png

(a) Phonon lifetime due to phonon-phonon scattering

../../_images/fig_scat_rates2572.png

(b) Phonon scattering rates

Cumulative and spectral thermal conductivity

../../_images/fig_cumu_frequency2573.png

(a) Spectral and cumulative thermal conductivity w.r.t frequency

../../_images/fig_cumu_mfp2572.png

(b) Spectral and cumulative thermal conductivity w.r.t MFP

Force constants

../../_images/fig_fc26158.png

(a) Force constants w.r.t atomic distance

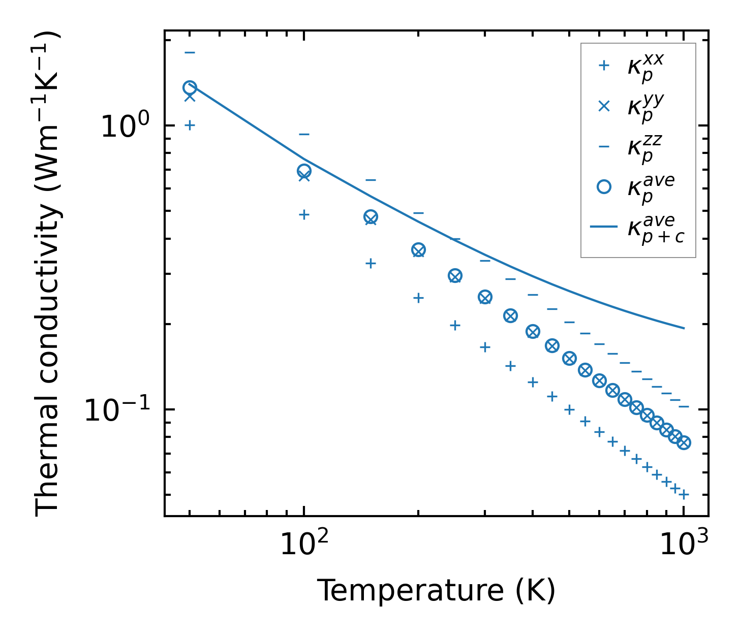
Summary

../../_images/fig_kappa4936.png

(a) Temperature-dependent lattice thermal conductivity

../../_images/fig_times11494.png

(b) Computation time