mp-6633-2/NaCSN/anharm

Equation of state

../../_images/fig_bm3214.png

(a) Equation of state

Harmonic properties

../../_images/fig_bandos_pr6098.png

(a) Phonon dispersion with participation ratio and DOS

../../_images/fig_thermo6098.png

(b) Thermodynamic properties

Grüneisen parameters

../../_images/fig_gru_all2475.png

(a) Grüneisen parameters

../../_images/fig_gruneisen2475.png

(b) Phonon dispersion with Grüneisen parameters

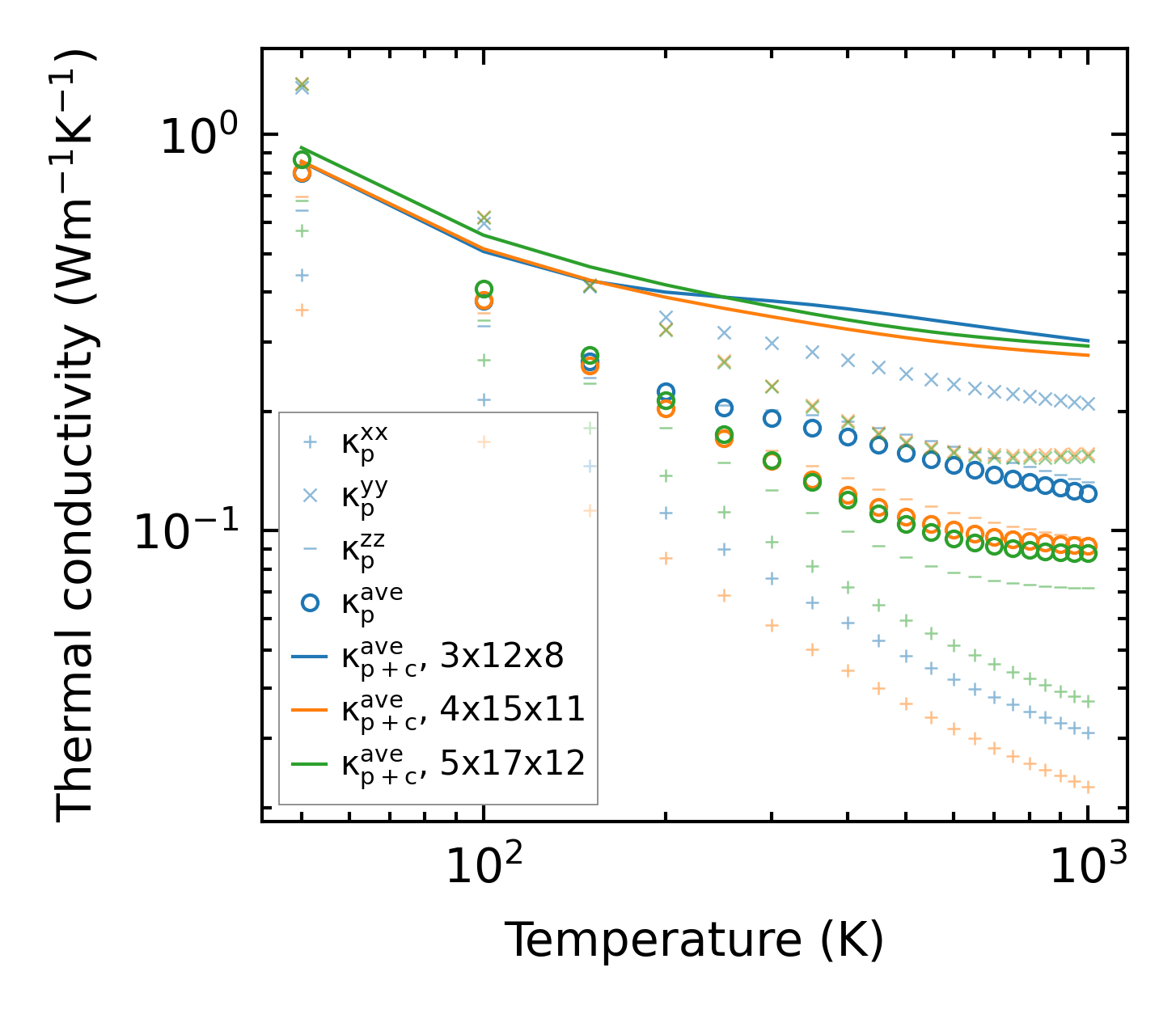
Thermal conductivity

3-phonon (LASSO) — q-mesh: 5x17x12, supercell: 1x3x3

../../_images/fig_kappa4710.png

(a) Temperature-dependent lattice thermal conductivity

../../_images/fig_kappa_vs_grain_size2506.png

(b) Peierls lattice thermal conductivity w.r.t grain size

Phonon lifetime and scattering rates

../../_images/fig_lifetime2458.png

(a) Phonon lifetime due to phonon-phonon scattering

../../_images/fig_scat_rates2457.png

(b) Phonon scattering rates

Cumulative and spectral thermal conductivity

../../_images/fig_cumu_frequency2458.png

(a) Spectral and cumulative thermal conductivity w.r.t frequency

../../_images/fig_cumu_mfp2457.png

(b) Spectral and cumulative thermal conductivity w.r.t MFP

Force constants

../../_images/fig_fc25889.png

(a) Force constants w.r.t atomic distance

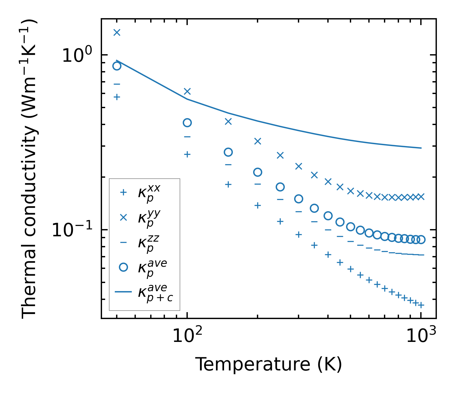
Summary

../../_images/fig_kappa4711.png

(a) Temperature-dependent lattice thermal conductivity

../../_images/fig_times11145.png

(b) Computation time