mp-6231-2/Ba2ErSbO6/anharm

Equation of state

../../_images/fig_bm3341.png

(a) Equation of state

Harmonic properties

../../_images/fig_bandos_pr6322.png

(a) Phonon dispersion with participation ratio and DOS

../../_images/fig_thermo6322.png

(b) Thermodynamic properties

Grüneisen parameters

../../_images/fig_gru_all2578.png

(a) Grüneisen parameters

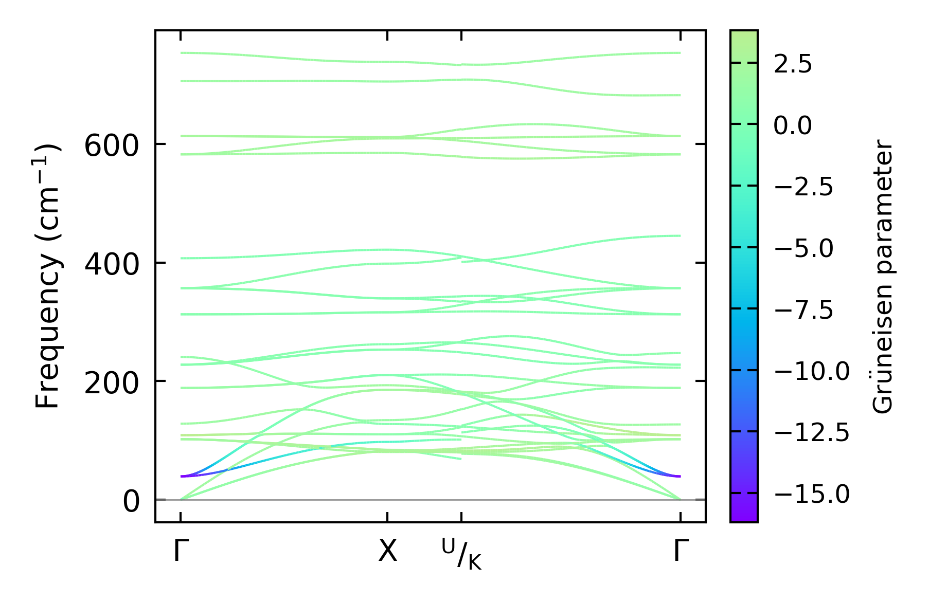
../../_images/fig_gruneisen2578.png

(b) Phonon dispersion with Grüneisen parameters

Thermal conductivity

3-phonon (LASSO) — q-mesh: 13x13x13, supercell: 1x1x1

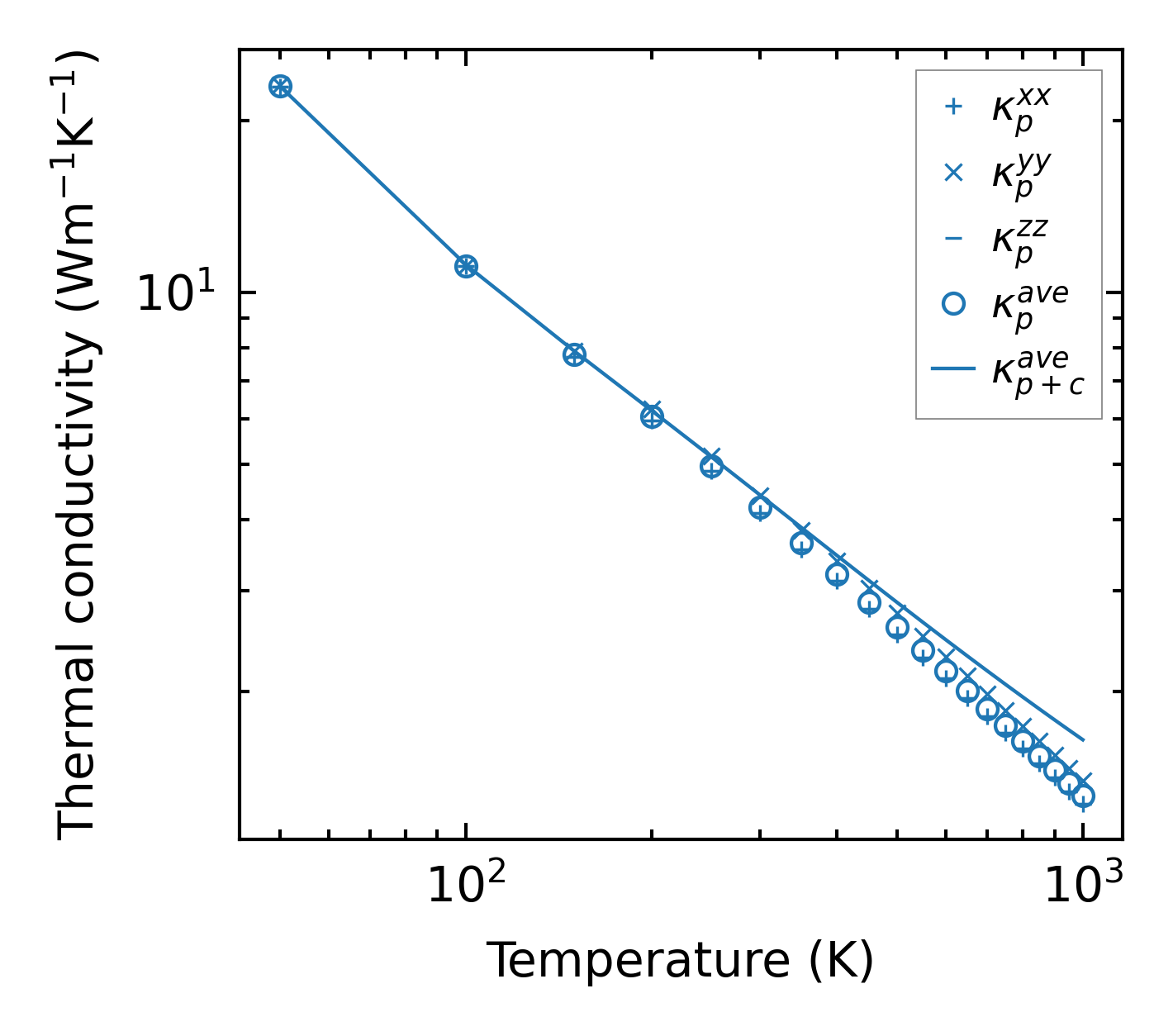
../../_images/fig_kappa4904.png

(a) Temperature-dependent lattice thermal conductivity

../../_images/fig_kappa_vs_grain_size2613.png

(b) Peierls lattice thermal conductivity w.r.t grain size

Phonon lifetime and scattering rates

../../_images/fig_lifetime2557.png

(a) Phonon lifetime due to phonon-phonon scattering

../../_images/fig_scat_rates2556.png

(b) Phonon scattering rates

Cumulative and spectral thermal conductivity

../../_images/fig_cumu_frequency2557.png

(a) Spectral and cumulative thermal conductivity w.r.t frequency

../../_images/fig_cumu_mfp2556.png

(b) Spectral and cumulative thermal conductivity w.r.t MFP

Force constants

../../_images/fig_fc26112.png

(a) Force constants w.r.t atomic distance

Summary

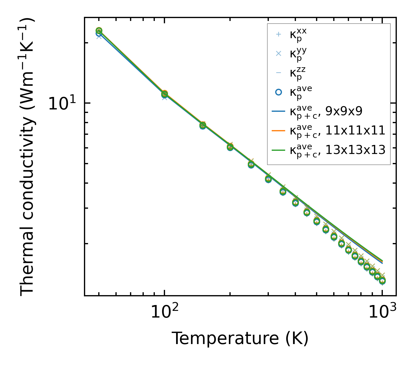
../../_images/fig_kappa4905.png

(a) Temperature-dependent lattice thermal conductivity

../../_images/fig_times11442.png

(b) Computation time