mp-6475/NaZr2P3O12/anharm

Equation of state

../../_images/fig_bm3403.png

(a) Equation of state

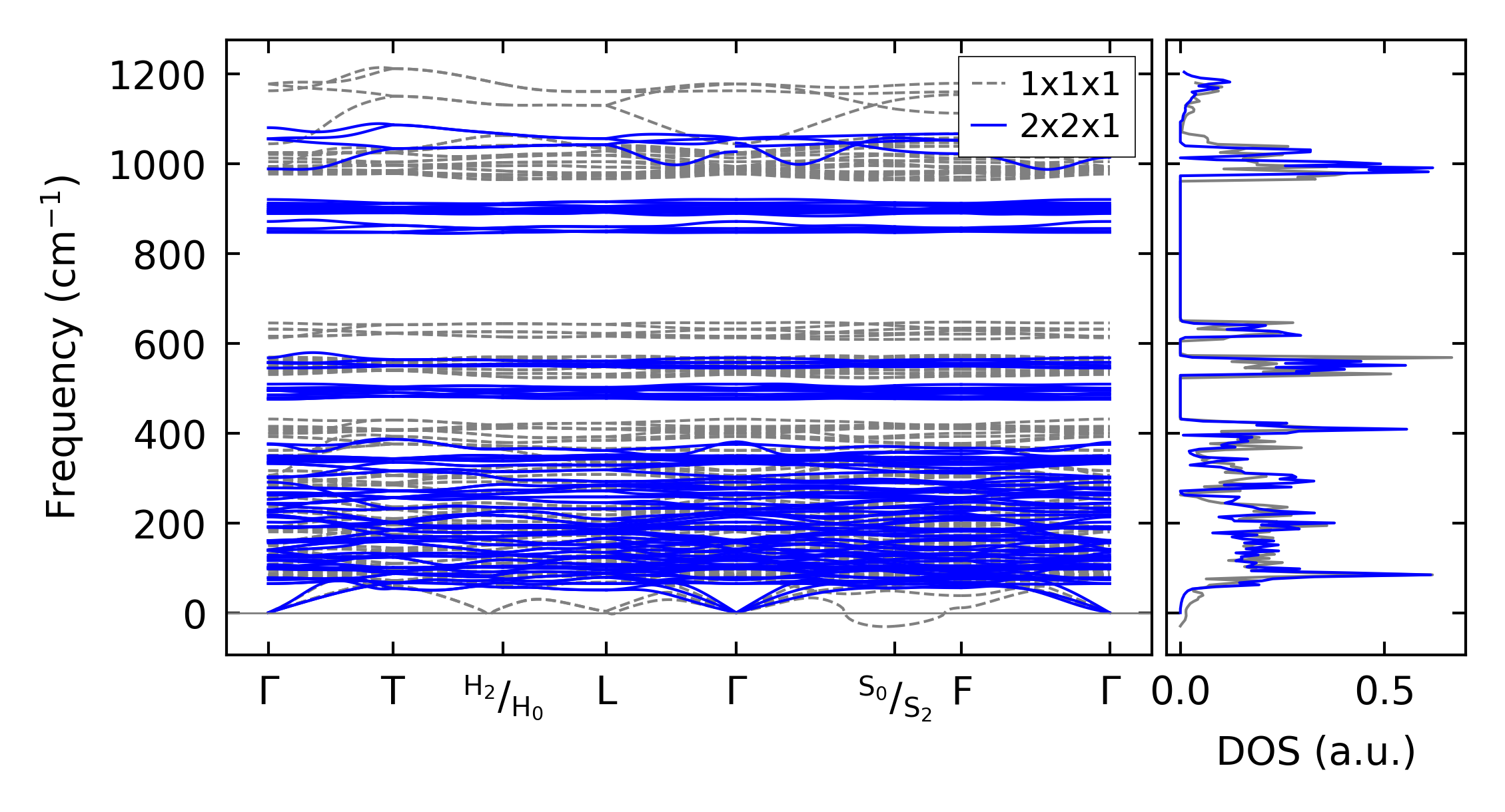
Harmonic properties

../../_images/fig_bandos_pr6432.png

(a) Phonon dispersion with participation ratio and DOS

../../_images/fig_bandos9276.png

(b) Phonon dispersion and DOS

../../_images/fig_thermo6432.png

(c) Thermodynamic properties

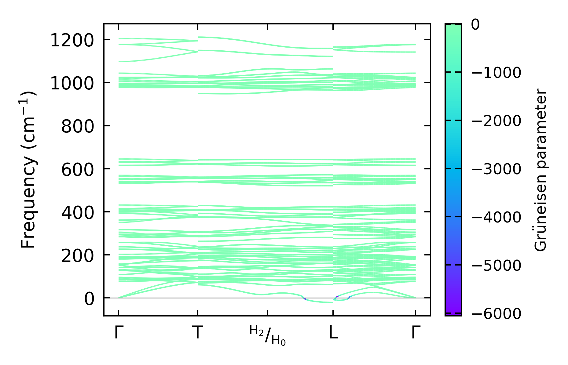
Grüneisen parameters

../../_images/fig_gru_all2625.png

(a) Grüneisen parameters

../../_images/fig_gruneisen2625.png

(b) Phonon dispersion with Grüneisen parameters

Thermal conductivity

3-phonon (LASSO), supercell 2x2x1 — q-mesh: 8x8x8, supercell: 2x2x1

../../_images/fig_kappa4992.png

(a) Temperature-dependent lattice thermal conductivity

../../_images/fig_kappa_vs_grain_size2661.png

(b) Peierls lattice thermal conductivity w.r.t grain size

Phonon lifetime and scattering rates

../../_images/fig_lifetime2603.png

(a) Phonon lifetime due to phonon-phonon scattering

../../_images/fig_scat_rates2602.png

(b) Phonon scattering rates

Cumulative and spectral thermal conductivity

../../_images/fig_cumu_frequency2603.png

(a) Spectral and cumulative thermal conductivity w.r.t frequency

../../_images/fig_cumu_mfp2602.png

(b) Spectral and cumulative thermal conductivity w.r.t MFP

Force constants

../../_images/fig_fc26222.png

(a) Force constants w.r.t atomic distance

Summary

../../_images/fig_times11580.png

(a) Computation time