mp-6825/Ho2Si4CN6/anharm

Harmonic properties

../../_images/fig_bandos_pr6183.png

(a) Phonon dispersion with participation ratio and DOS

../../_images/fig_thermo6183.png

(b) Thermodynamic properties

Grüneisen parameters

../../_images/fig_gru_all2508.png

(a) Grüneisen parameters

../../_images/fig_gruneisen2508.png

(b) Phonon dispersion with Grüneisen parameters

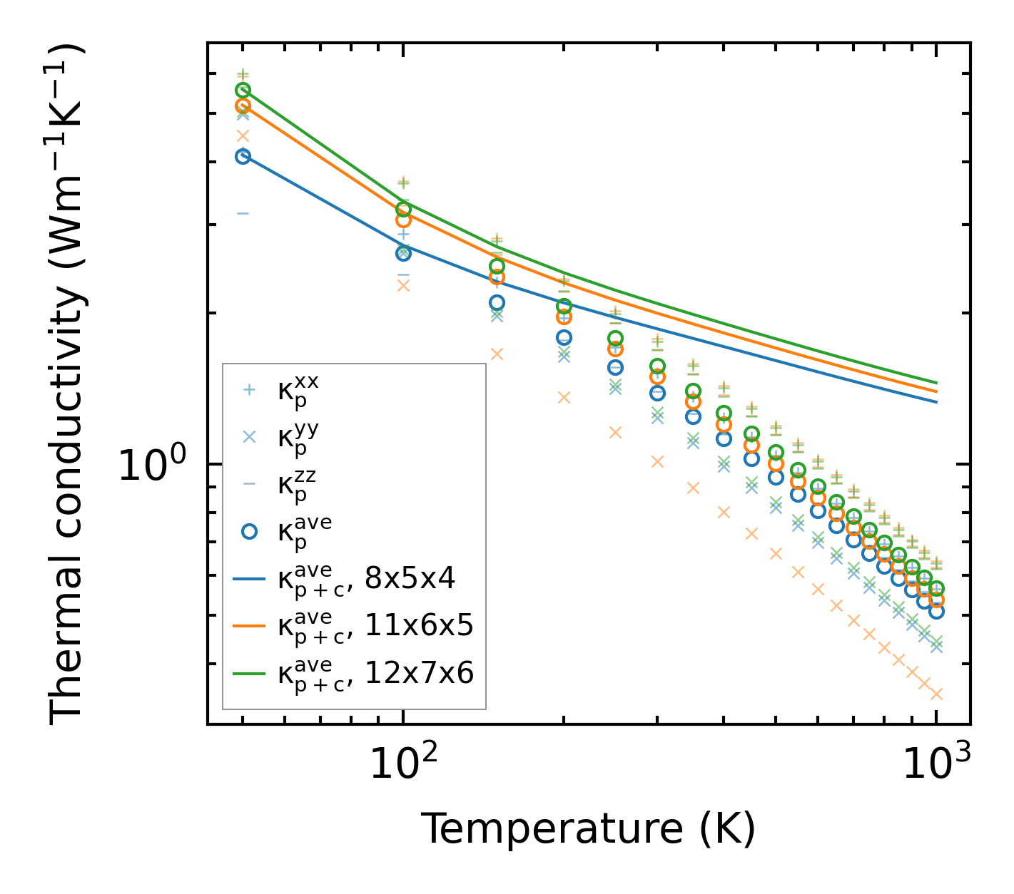
Thermal conductivity

3-phonon (LASSO) — q-mesh: 12x7x6, supercell: 2x1x1

../../_images/fig_kappa4771.png

(a) Temperature-dependent lattice thermal conductivity

../../_images/fig_kappa_vs_grain_size2540.png

(b) Peierls lattice thermal conductivity w.r.t grain size

Phonon lifetime and scattering rates

../../_images/fig_lifetime2490.png

(a) Phonon lifetime due to phonon-phonon scattering

../../_images/fig_scat_rates2489.png

(b) Phonon scattering rates

Cumulative and spectral thermal conductivity

../../_images/fig_cumu_frequency2490.png

(a) Spectral and cumulative thermal conductivity w.r.t frequency

../../_images/fig_cumu_mfp2489.png

(b) Spectral and cumulative thermal conductivity w.r.t MFP

Force constants

../../_images/fig_fc25974.png

(a) Force constants w.r.t atomic distance

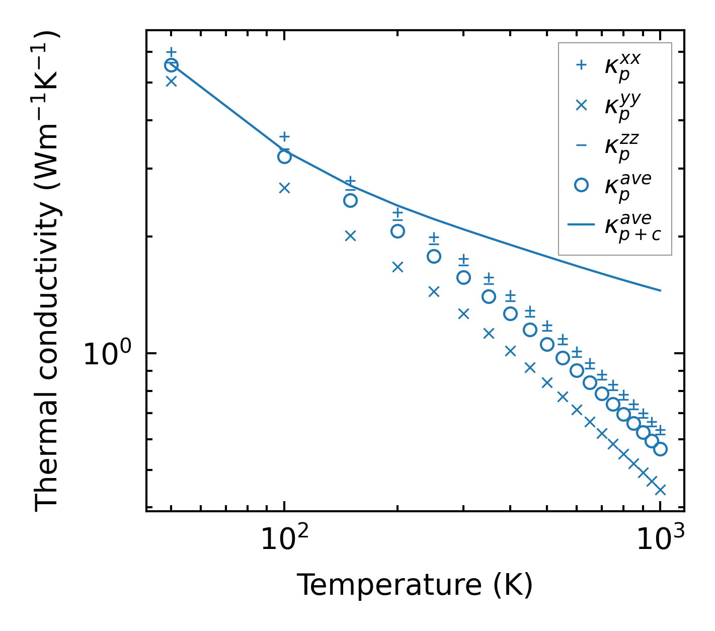
Summary

../../_images/fig_kappa4772.png

(a) Temperature-dependent lattice thermal conductivity

../../_images/fig_times11262.png

(b) Computation time