mp-6228/Na2TiGeO5/anharm

Harmonic properties

../../_images/fig_bandos_pr6320.png

(a) Phonon dispersion with participation ratio and DOS

../../_images/fig_thermo6320.png

(b) Thermodynamic properties

Grüneisen parameters

../../_images/fig_gru_all2576.png

(a) Grüneisen parameters

../../_images/fig_gruneisen2576.png

(b) Phonon dispersion with Grüneisen parameters

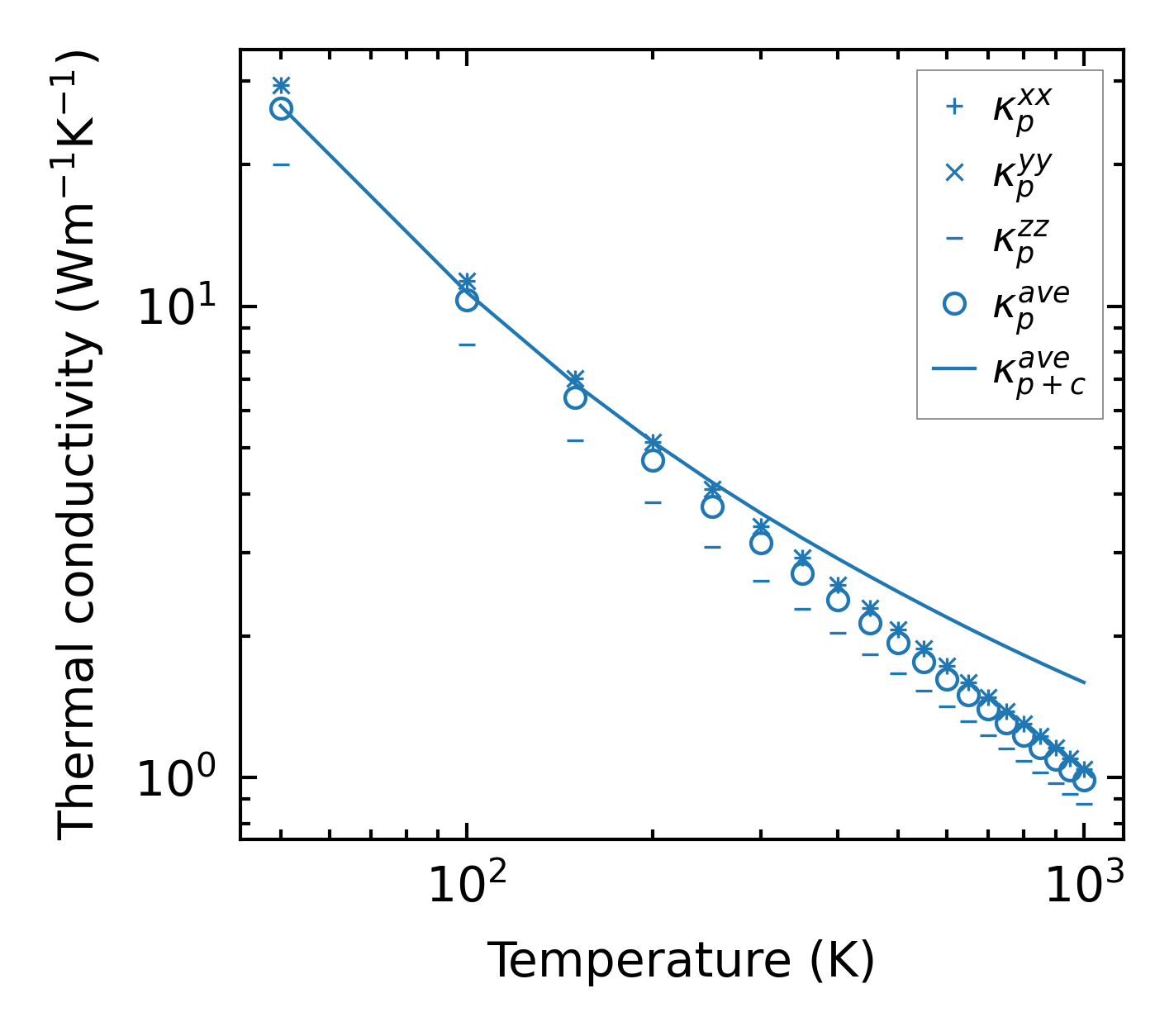
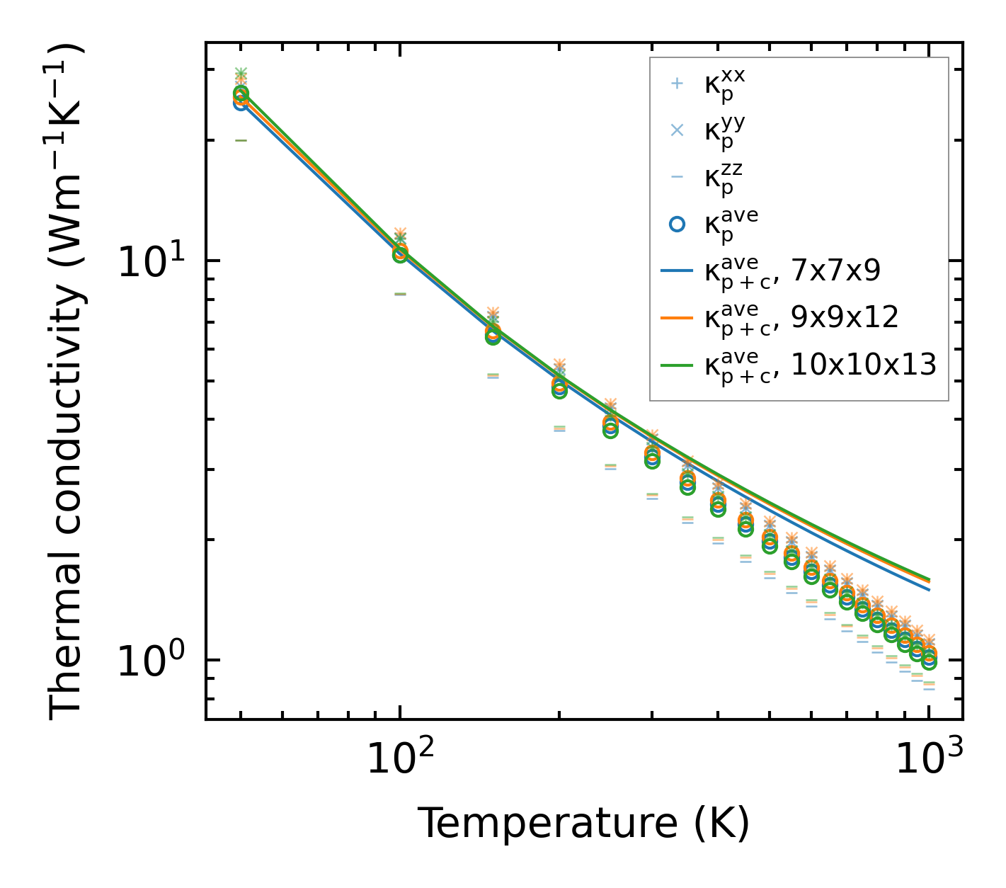
Thermal conductivity

3-phonon (LASSO) — q-mesh: 10x10x13, supercell: 2x2x2

../../_images/fig_kappa4900.png

(a) Temperature-dependent lattice thermal conductivity

../../_images/fig_kappa_vs_grain_size2611.png

(b) Peierls lattice thermal conductivity w.r.t grain size

Phonon lifetime and scattering rates

../../_images/fig_lifetime2556.png

(a) Phonon lifetime due to phonon-phonon scattering

../../_images/fig_scat_rates2555.png

(b) Phonon scattering rates

Cumulative and spectral thermal conductivity

../../_images/fig_cumu_frequency2556.png

(a) Spectral and cumulative thermal conductivity w.r.t frequency

../../_images/fig_cumu_mfp2555.png

(b) Spectral and cumulative thermal conductivity w.r.t MFP

Force constants

../../_images/fig_fc26110.png

(a) Force constants w.r.t atomic distance

Summary

../../_images/fig_kappa4901.png

(a) Temperature-dependent lattice thermal conductivity

../../_images/fig_times11440.png

(b) Computation time