mp-6987-2/SrGa2Te4/anharm

Equation of state

../../_images/fig_bm3290.png

(a) Equation of state

Harmonic properties

../../_images/fig_bandos_pr6239.png

(a) Phonon dispersion with participation ratio and DOS

../../_images/fig_thermo6239.png

(b) Thermodynamic properties

Grüneisen parameters

../../_images/fig_gru_all2543.png

(a) Grüneisen parameters

../../_images/fig_gruneisen2543.png

(b) Phonon dispersion with Grüneisen parameters

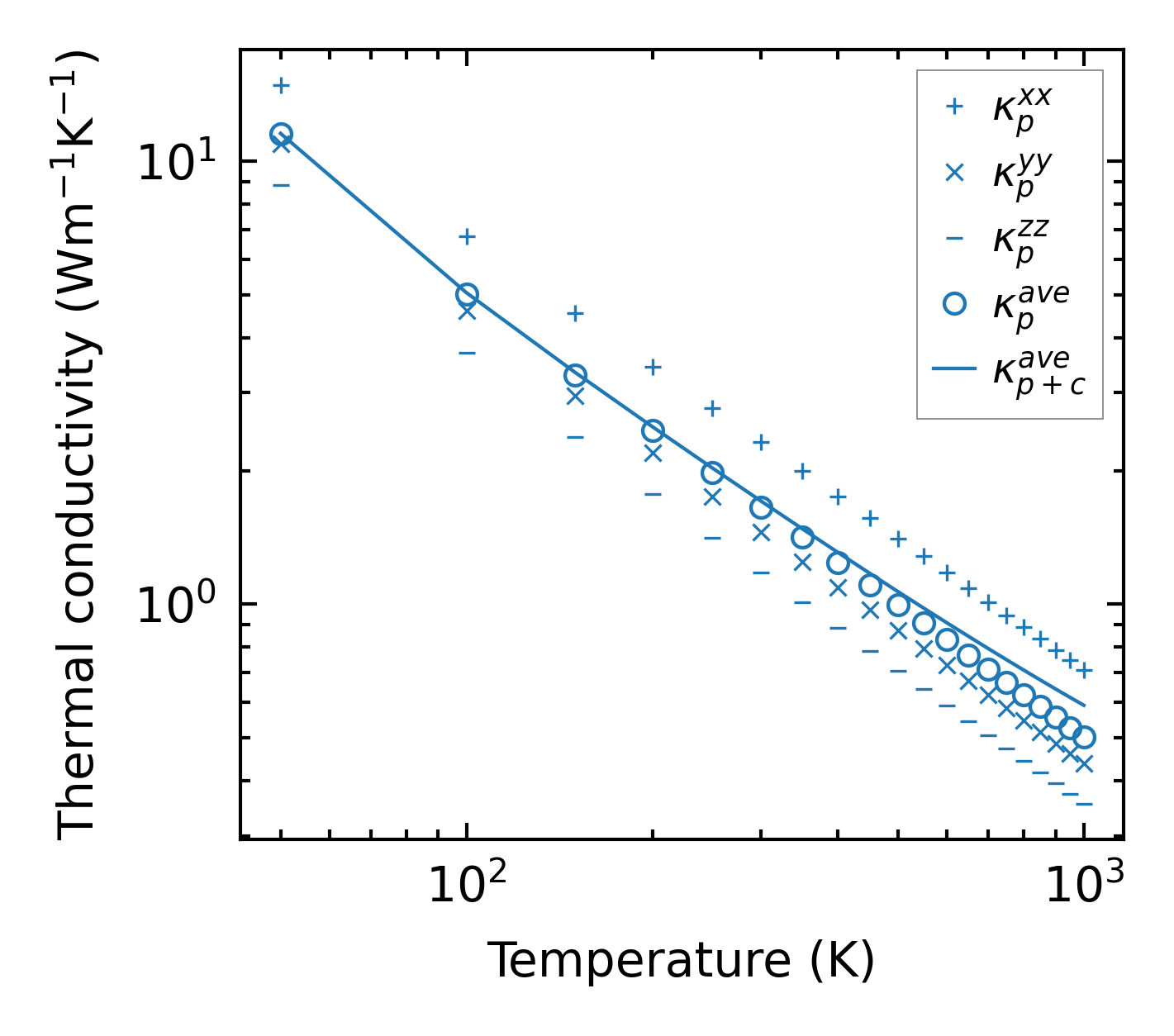
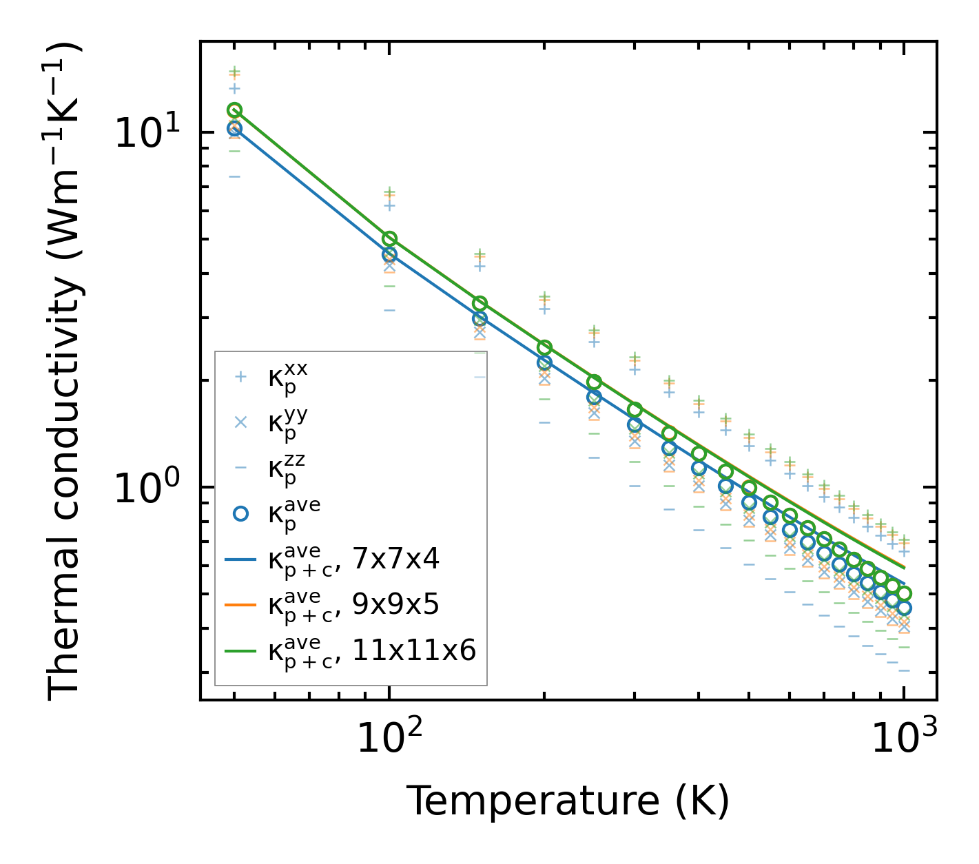
Thermal conductivity

3-phonon (LASSO) — q-mesh: 11x11x6, supercell: 2x2x1

../../_images/fig_kappa4840.png

(a) Temperature-dependent lattice thermal conductivity

../../_images/fig_kappa_vs_grain_size2577.png

(b) Peierls lattice thermal conductivity w.r.t grain size

Phonon lifetime and scattering rates

../../_images/fig_lifetime2524.png

(a) Phonon lifetime due to phonon-phonon scattering

../../_images/fig_scat_rates2523.png

(b) Phonon scattering rates

Cumulative and spectral thermal conductivity

../../_images/fig_cumu_frequency2524.png

(a) Spectral and cumulative thermal conductivity w.r.t frequency

../../_images/fig_cumu_mfp2523.png

(b) Spectral and cumulative thermal conductivity w.r.t MFP

Force constants

../../_images/fig_fc26029.png

(a) Force constants w.r.t atomic distance

Summary

../../_images/fig_kappa4841.png

(a) Temperature-dependent lattice thermal conductivity

../../_images/fig_times11330.png

(b) Computation time