mp-6224-2/LiScSiO4/anharm

Equation of state

../../_images/fig_bm3338.png

(a) Equation of state

Harmonic properties

../../_images/fig_bandos_pr6316.png

(a) Phonon dispersion with participation ratio and DOS

../../_images/fig_thermo6316.png

(b) Thermodynamic properties

Grüneisen parameters

../../_images/fig_gru_all2575.png

(a) Grüneisen parameters

../../_images/fig_gruneisen2575.png

(b) Phonon dispersion with Grüneisen parameters

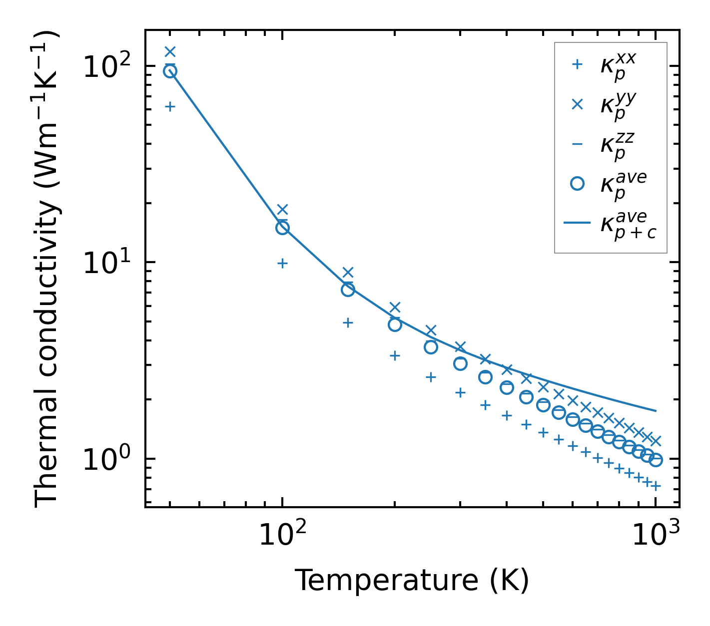
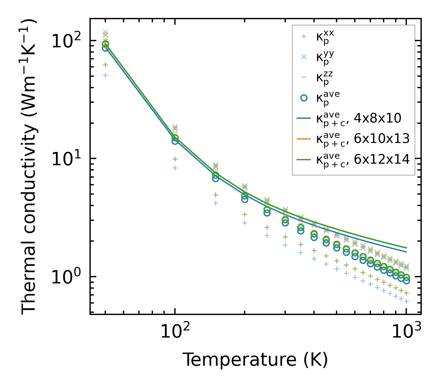
Thermal conductivity

3-phonon (LASSO) — q-mesh: 6x12x14, supercell: 1x2x2

../../_images/fig_kappa4898.png

(a) Temperature-dependent lattice thermal conductivity

../../_images/fig_kappa_vs_grain_size2610.png

(b) Peierls lattice thermal conductivity w.r.t grain size

Phonon lifetime and scattering rates

../../_images/fig_lifetime2555.png

(a) Phonon lifetime due to phonon-phonon scattering

../../_images/fig_scat_rates2554.png

(b) Phonon scattering rates

Cumulative and spectral thermal conductivity

../../_images/fig_cumu_frequency2555.png

(a) Spectral and cumulative thermal conductivity w.r.t frequency

../../_images/fig_cumu_mfp2554.png

(b) Spectral and cumulative thermal conductivity w.r.t MFP

Force constants

../../_images/fig_fc26106.png

(a) Force constants w.r.t atomic distance

Summary

../../_images/fig_kappa4899.png

(a) Temperature-dependent lattice thermal conductivity

../../_images/fig_times11436.png

(b) Computation time