mp-6501-2/BaHo2ZnO5/anharm

Equation of state

../../_images/fig_bm3413.png

(a) Equation of state

Harmonic properties

../../_images/fig_bandos_pr6449.png

(a) Phonon dispersion with participation ratio and DOS

../../_images/fig_thermo6449.png

(b) Thermodynamic properties

Grüneisen parameters

../../_images/fig_gru_all2632.png

(a) Grüneisen parameters

../../_images/fig_gruneisen2632.png

(b) Phonon dispersion with Grüneisen parameters

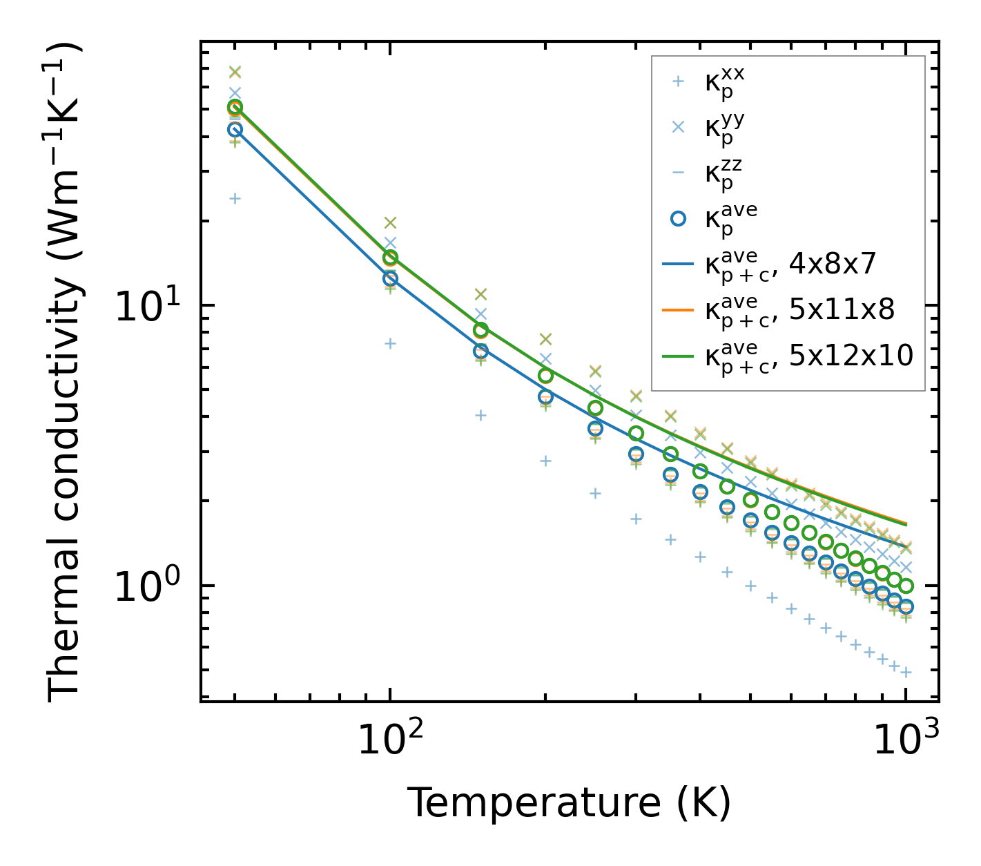
Thermal conductivity

3-phonon (LASSO) — q-mesh: 5x12x10, supercell: 1x2x2

../../_images/fig_kappa5003.png

(a) Temperature-dependent lattice thermal conductivity

../../_images/fig_kappa_vs_grain_size2668.png

(b) Peierls lattice thermal conductivity w.r.t grain size

Phonon lifetime and scattering rates

../../_images/fig_lifetime2610.png

(a) Phonon lifetime due to phonon-phonon scattering

../../_images/fig_scat_rates2609.png

(b) Phonon scattering rates

Cumulative and spectral thermal conductivity

../../_images/fig_cumu_frequency2610.png

(a) Spectral and cumulative thermal conductivity w.r.t frequency

../../_images/fig_cumu_mfp2609.png

(b) Spectral and cumulative thermal conductivity w.r.t MFP

Force constants

../../_images/fig_fc26239.png

(a) Force constants w.r.t atomic distance

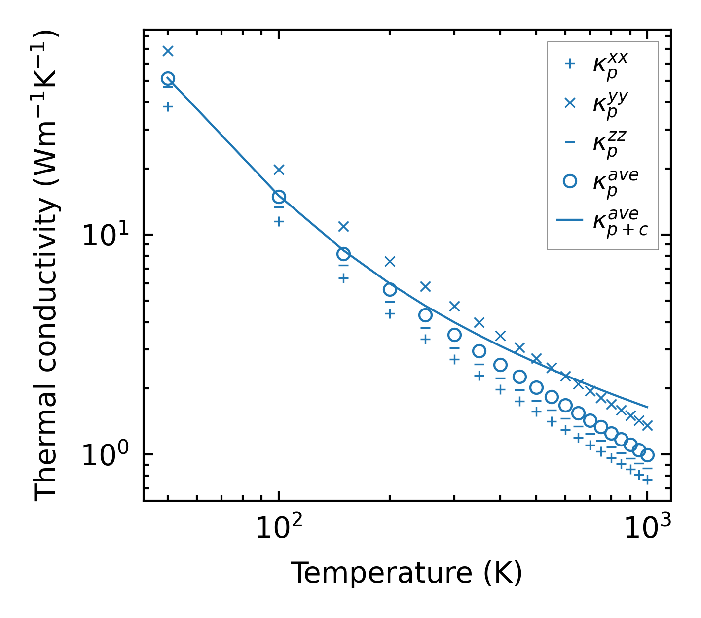
Summary

../../_images/fig_kappa5004.png

(a) Temperature-dependent lattice thermal conductivity

../../_images/fig_times11603.png

(b) Computation time