mp-6738/Al6B5O15F3/anharm

Harmonic properties

../../_images/fig_bandos_pr6141.png

(a) Phonon dispersion with participation ratio and DOS

../../_images/fig_thermo6141.png

(b) Thermodynamic properties

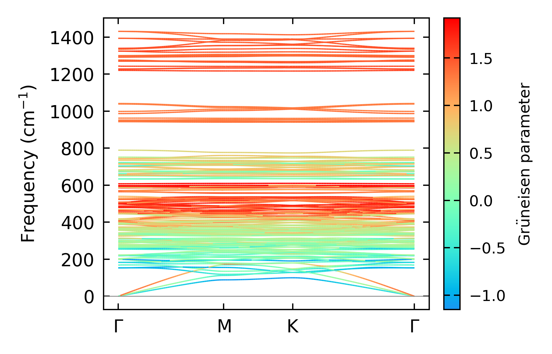
Grüneisen parameters

../../_images/fig_gru_all2493.png

(a) Grüneisen parameters

../../_images/fig_gruneisen2493.png

(b) Phonon dispersion with Grüneisen parameters

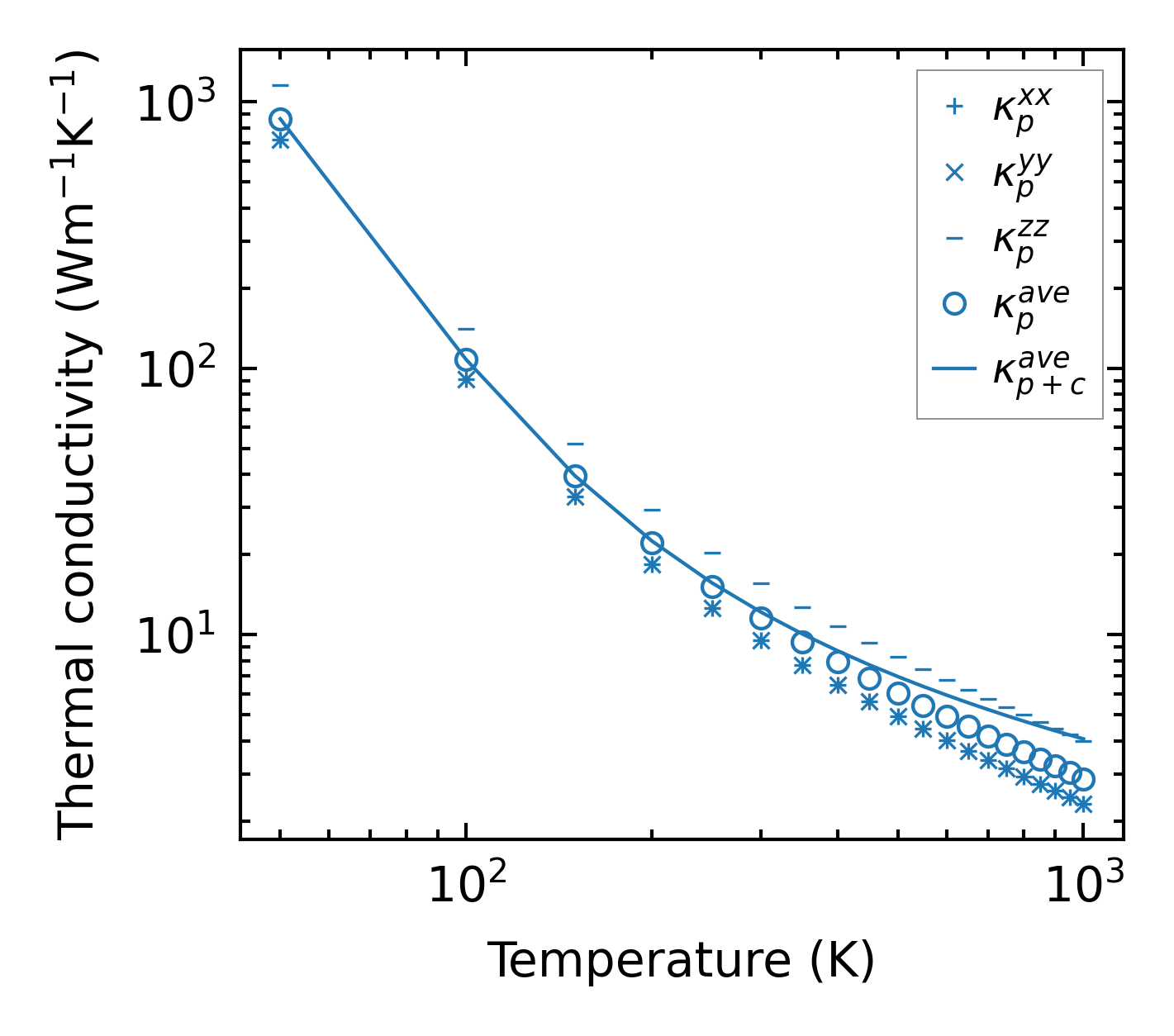
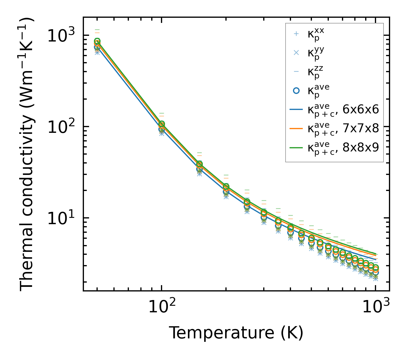
Thermal conductivity

3-phonon (LASSO) — q-mesh: 8x8x9, supercell: 1x1x2

../../_images/fig_kappa4744.png

(a) Temperature-dependent lattice thermal conductivity

../../_images/fig_kappa_vs_grain_size2523.png

(b) Peierls lattice thermal conductivity w.r.t grain size

Phonon lifetime and scattering rates

../../_images/fig_lifetime2475.png

(a) Phonon lifetime due to phonon-phonon scattering

../../_images/fig_scat_rates2474.png

(b) Phonon scattering rates

Cumulative and spectral thermal conductivity

../../_images/fig_cumu_frequency2475.png

(a) Spectral and cumulative thermal conductivity w.r.t frequency

../../_images/fig_cumu_mfp2474.png

(b) Spectral and cumulative thermal conductivity w.r.t MFP

Force constants

../../_images/fig_fc25932.png

(a) Force constants w.r.t atomic distance

Summary

../../_images/fig_kappa4745.png

(a) Temperature-dependent lattice thermal conductivity

../../_images/fig_times11202.png

(b) Computation time