mp-6637/MnAg4Sb2S6/anharm

Harmonic properties

../../_images/fig_bandos_pr6099.png

(a) Phonon dispersion with participation ratio and DOS

../../_images/fig_thermo6099.png

(b) Thermodynamic properties

Grüneisen parameters

../../_images/fig_gru_all2476.png

(a) Grüneisen parameters

../../_images/fig_gruneisen2476.png

(b) Phonon dispersion with Grüneisen parameters

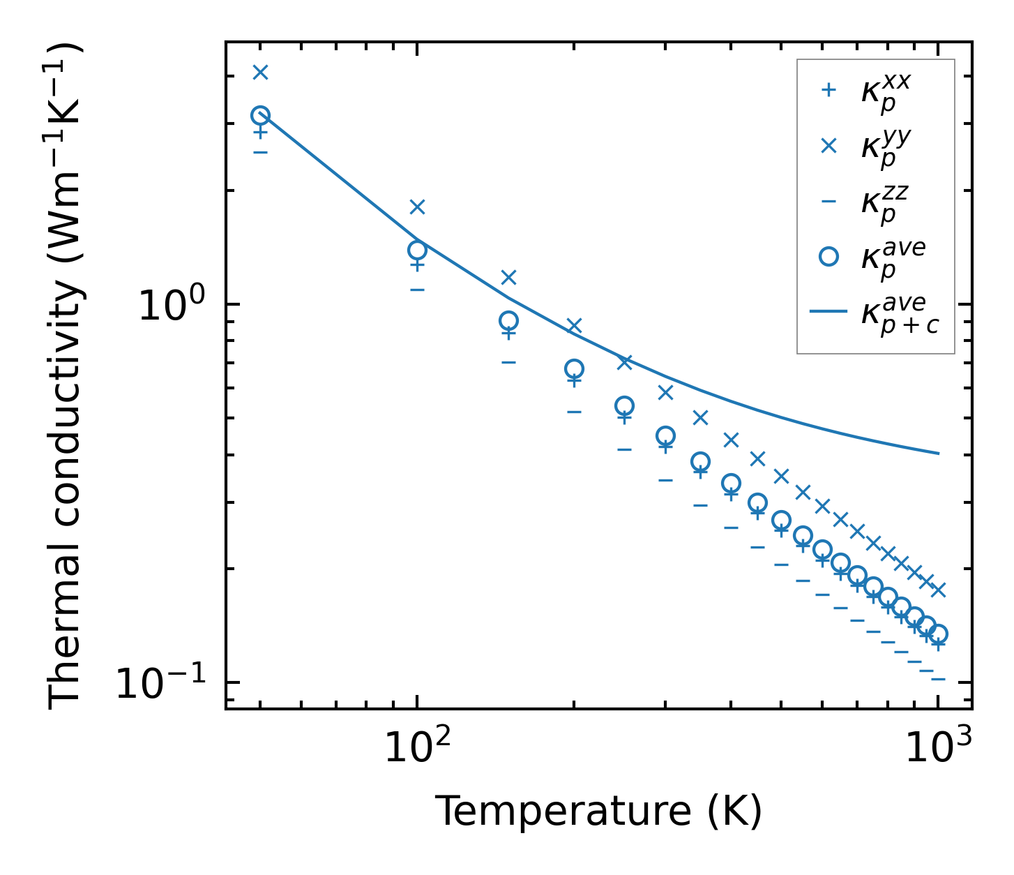
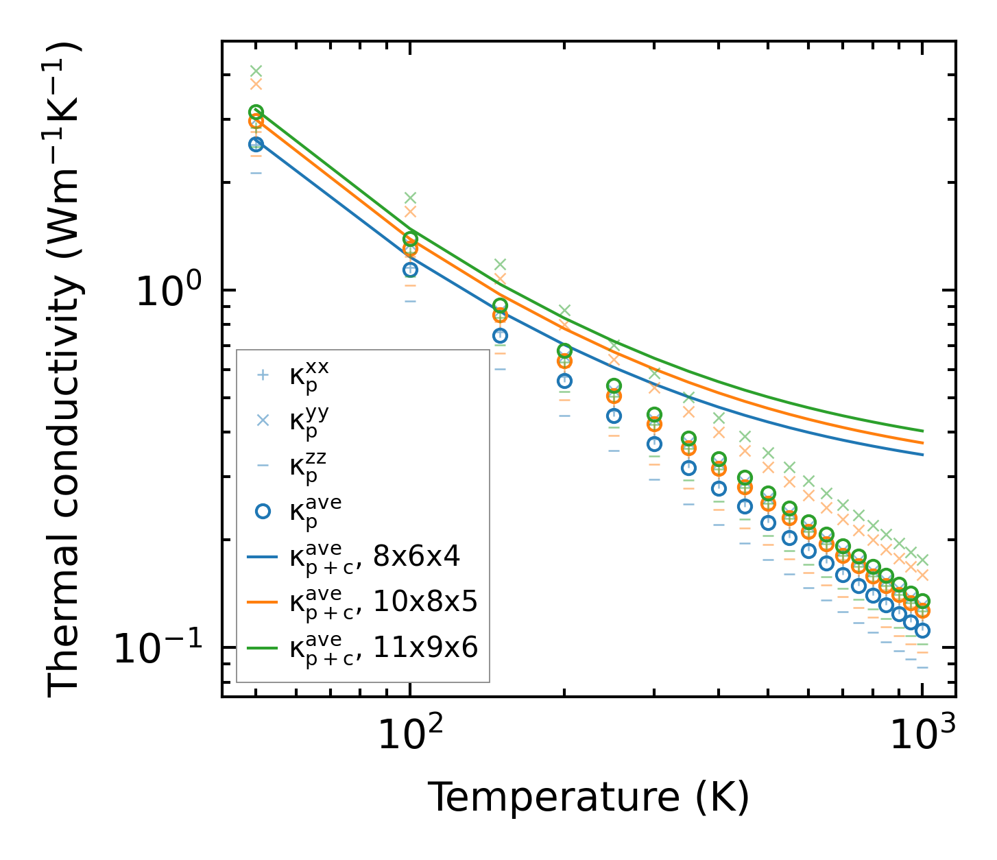
Thermal conductivity

3-phonon (LASSO) — q-mesh: 11x9x6, supercell: 2x2x1

../../_images/fig_kappa4712.png

(a) Temperature-dependent lattice thermal conductivity

../../_images/fig_kappa_vs_grain_size2507.png

(b) Peierls lattice thermal conductivity w.r.t grain size

Phonon lifetime and scattering rates

../../_images/fig_lifetime2459.png

(a) Phonon lifetime due to phonon-phonon scattering

../../_images/fig_scat_rates2458.png

(b) Phonon scattering rates

Cumulative and spectral thermal conductivity

../../_images/fig_cumu_frequency2459.png

(a) Spectral and cumulative thermal conductivity w.r.t frequency

../../_images/fig_cumu_mfp2458.png

(b) Spectral and cumulative thermal conductivity w.r.t MFP

Force constants

../../_images/fig_fc25890.png

(a) Force constants w.r.t atomic distance

Summary

../../_images/fig_kappa4713.png

(a) Temperature-dependent lattice thermal conductivity

../../_images/fig_times11146.png

(b) Computation time