mp-6281/NaCa3RuO6/anharm

Harmonic properties

../../_images/fig_bandos_pr6358.png

(a) Phonon dispersion with participation ratio and DOS

../../_images/fig_thermo6358.png

(b) Thermodynamic properties

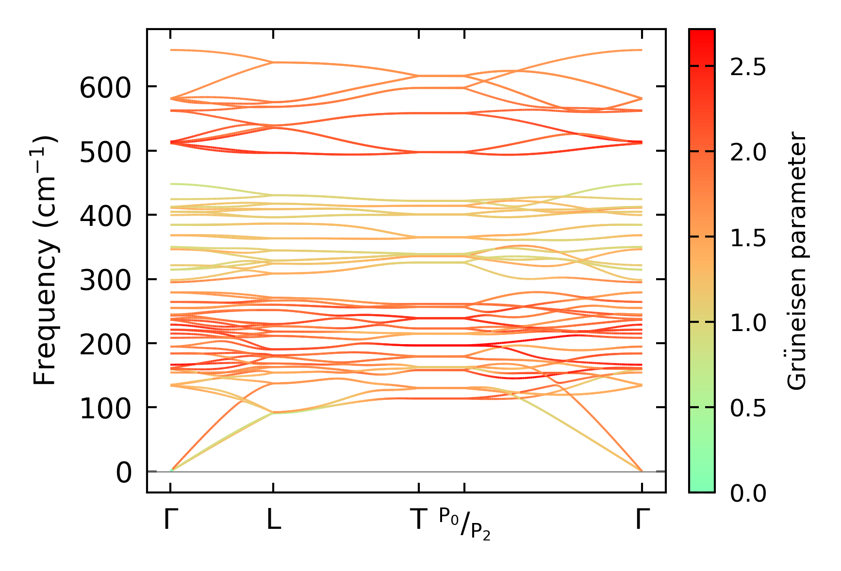
Grüneisen parameters

../../_images/fig_gru_all2591.png

(a) Grüneisen parameters

../../_images/fig_gruneisen2591.png

(b) Phonon dispersion with Grüneisen parameters

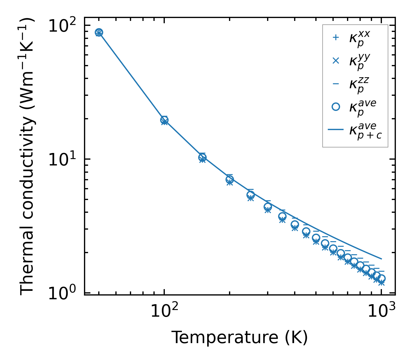
Thermal conductivity

3-phonon (LASSO) — q-mesh: 11x11x11, supercell: 1x1x1

../../_images/fig_kappa4928.png

(a) Temperature-dependent lattice thermal conductivity

../../_images/fig_kappa_vs_grain_size2626.png

(b) Peierls lattice thermal conductivity w.r.t grain size

Phonon lifetime and scattering rates

../../_images/fig_lifetime2569.png

(a) Phonon lifetime due to phonon-phonon scattering

../../_images/fig_scat_rates2568.png

(b) Phonon scattering rates

Cumulative and spectral thermal conductivity

../../_images/fig_cumu_frequency2569.png

(a) Spectral and cumulative thermal conductivity w.r.t frequency

../../_images/fig_cumu_mfp2568.png

(b) Spectral and cumulative thermal conductivity w.r.t MFP

Force constants

../../_images/fig_fc26148.png

(a) Force constants w.r.t atomic distance

Summary

../../_images/fig_kappa4929.png

(a) Temperature-dependent lattice thermal conductivity

../../_images/fig_times11482.png

(b) Computation time