mp-6305/K3TiO4F3/anharm

Harmonic properties

../../_images/fig_bandos_pr6371.png

(a) Phonon dispersion with participation ratio and DOS

../../_images/fig_thermo6371.png

(b) Thermodynamic properties

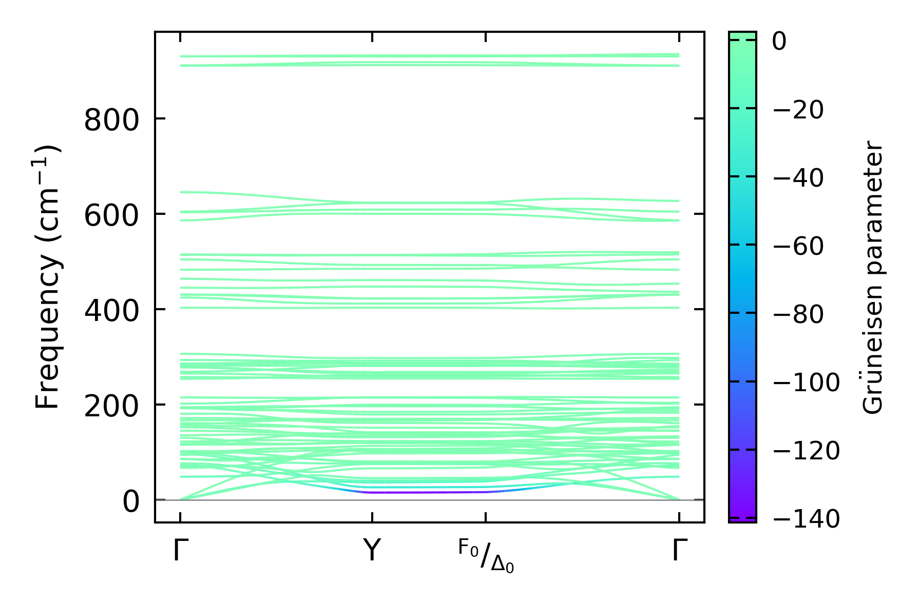
Grüneisen parameters

../../_images/fig_gru_all2596.png

(a) Grüneisen parameters

../../_images/fig_gruneisen2596.png

(b) Phonon dispersion with Grüneisen parameters

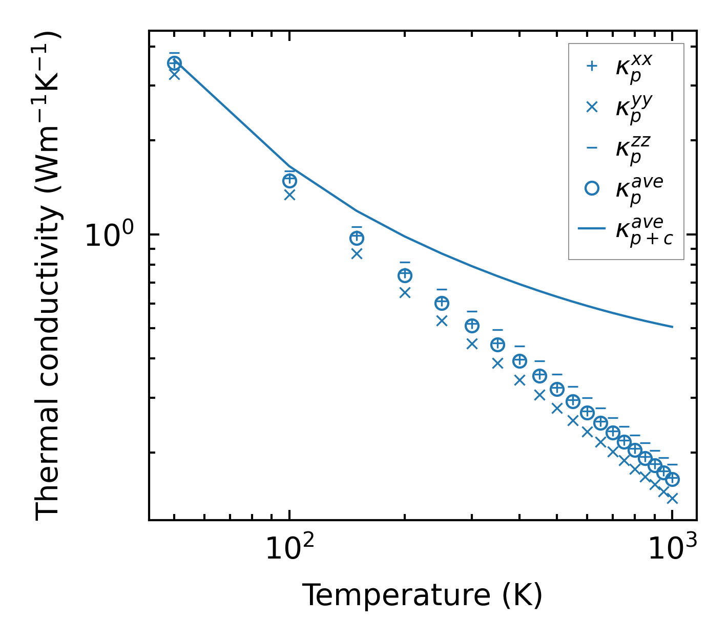
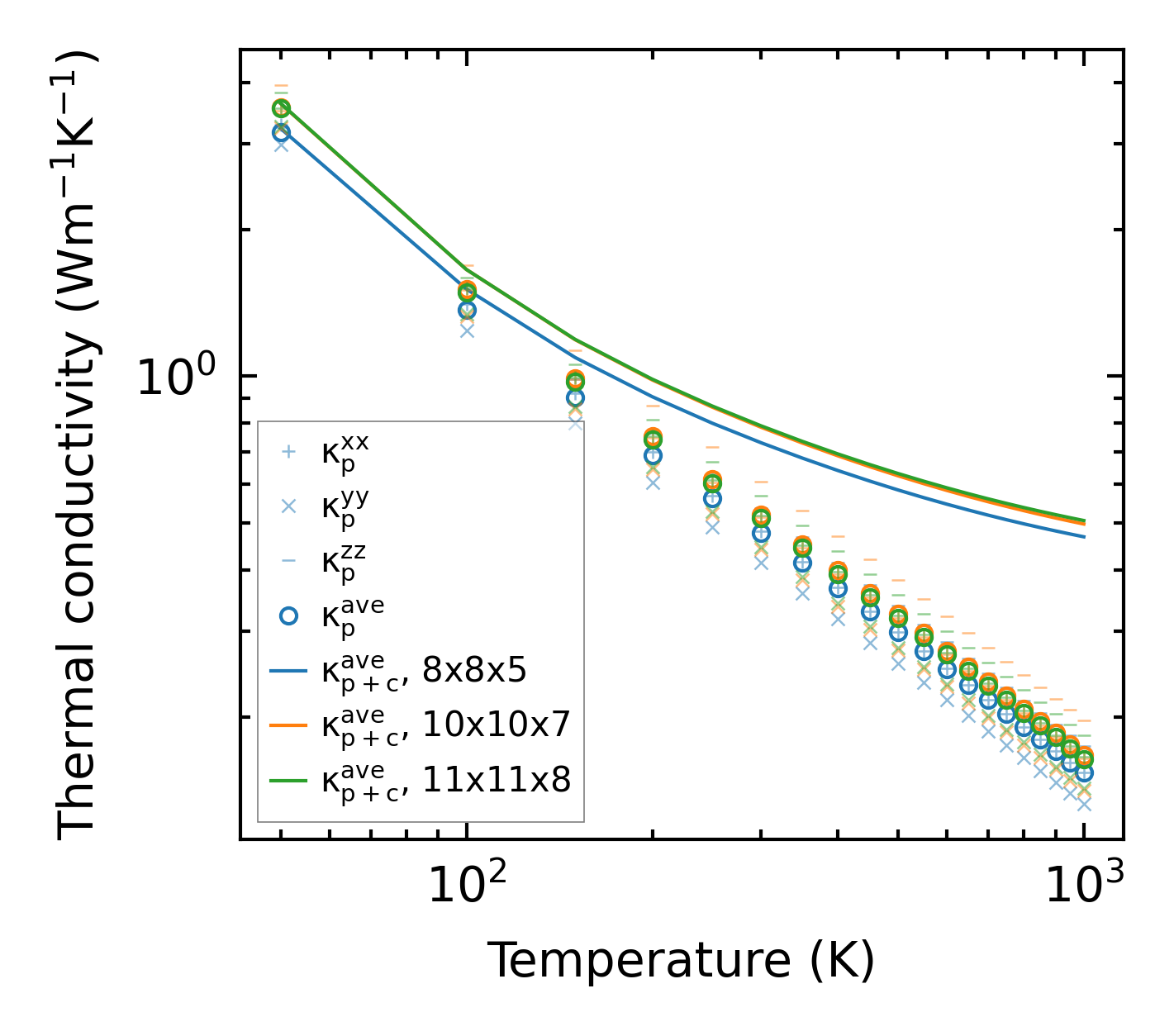
Thermal conductivity

3-phonon (LASSO) — q-mesh: 11x11x8, supercell: 1x2x1

../../_images/fig_kappa4937.png

(a) Temperature-dependent lattice thermal conductivity

../../_images/fig_kappa_vs_grain_size2631.png

(b) Peierls lattice thermal conductivity w.r.t grain size

Phonon lifetime and scattering rates

../../_images/fig_lifetime2574.png

(a) Phonon lifetime due to phonon-phonon scattering

../../_images/fig_scat_rates2573.png

(b) Phonon scattering rates

Cumulative and spectral thermal conductivity

../../_images/fig_cumu_frequency2574.png

(a) Spectral and cumulative thermal conductivity w.r.t frequency

../../_images/fig_cumu_mfp2573.png

(b) Spectral and cumulative thermal conductivity w.r.t MFP

Force constants

../../_images/fig_fc26161.png

(a) Force constants w.r.t atomic distance

Summary

../../_images/fig_kappa4938.png

(a) Temperature-dependent lattice thermal conductivity

../../_images/fig_times11497.png

(b) Computation time