mp-6450/K2LiAlP2/anharm

Harmonic properties

../../_images/fig_bandos_pr6421.png

(a) Phonon dispersion with participation ratio and DOS

../../_images/fig_thermo6421.png

(b) Thermodynamic properties

Grüneisen parameters

../../_images/fig_gru_all2615.png

(a) Grüneisen parameters

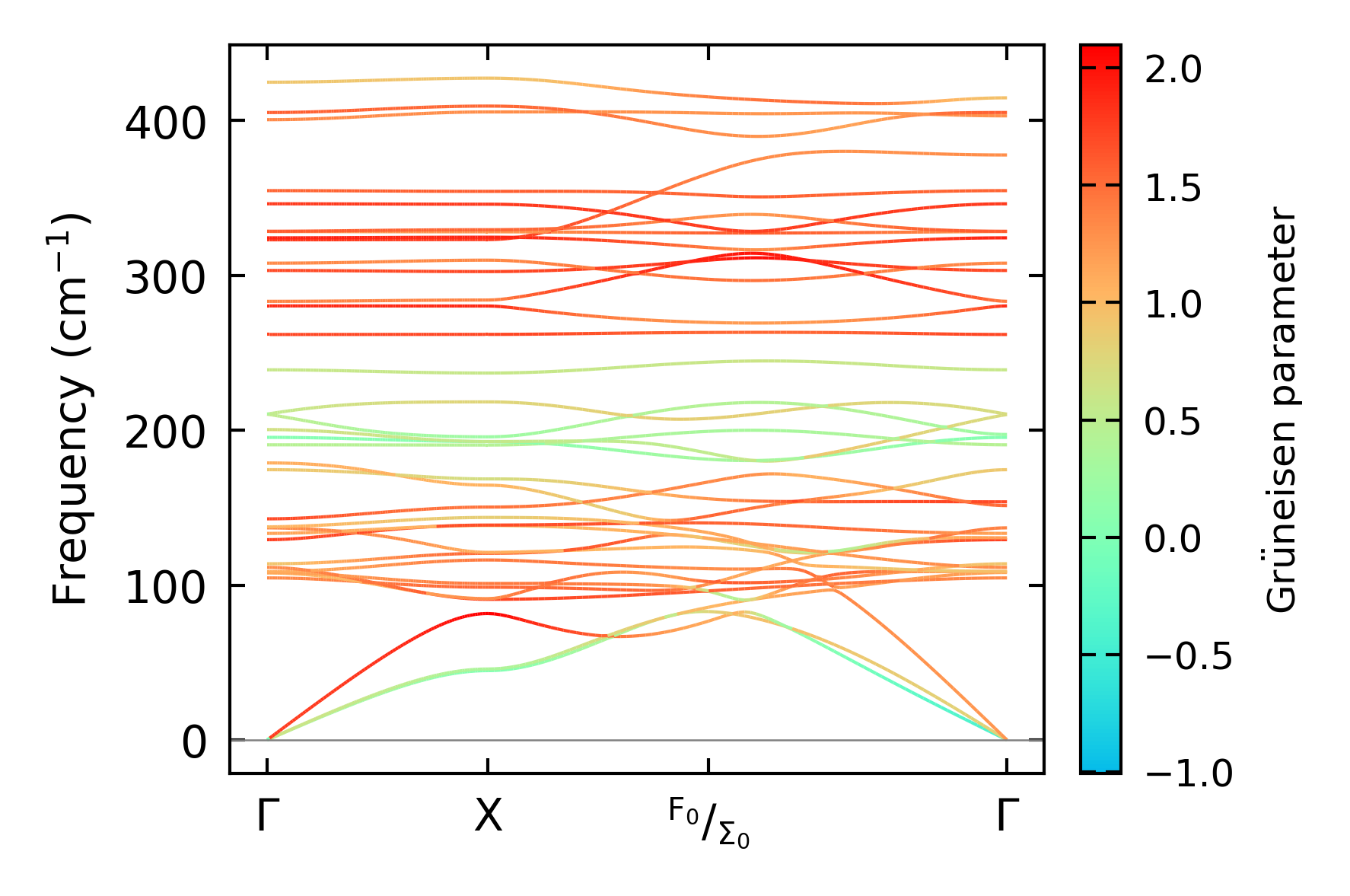
../../_images/fig_gruneisen2615.png

(b) Phonon dispersion with Grüneisen parameters

Thermal conductivity

3-phonon (LASSO) — q-mesh: 11x11x11, supercell: 2x1x3

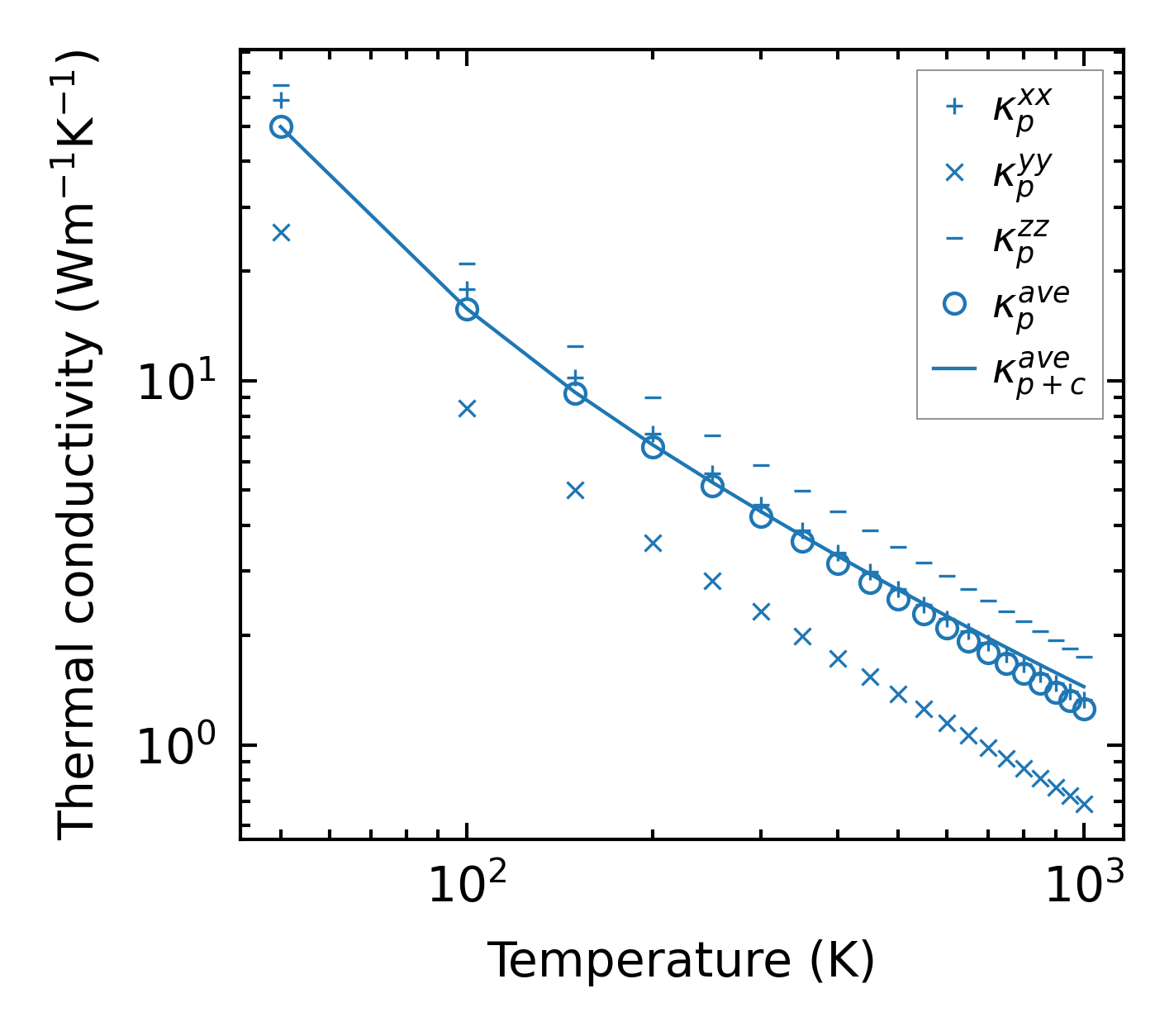
../../_images/fig_kappa4973.png

(a) Temperature-dependent lattice thermal conductivity

../../_images/fig_kappa_vs_grain_size2651.png

(b) Peierls lattice thermal conductivity w.r.t grain size

Phonon lifetime and scattering rates

../../_images/fig_lifetime2593.png

(a) Phonon lifetime due to phonon-phonon scattering

../../_images/fig_scat_rates2592.png

(b) Phonon scattering rates

Cumulative and spectral thermal conductivity

../../_images/fig_cumu_frequency2593.png

(a) Spectral and cumulative thermal conductivity w.r.t frequency

../../_images/fig_cumu_mfp2592.png

(b) Spectral and cumulative thermal conductivity w.r.t MFP

Force constants

../../_images/fig_fc26211.png

(a) Force constants w.r.t atomic distance

Summary

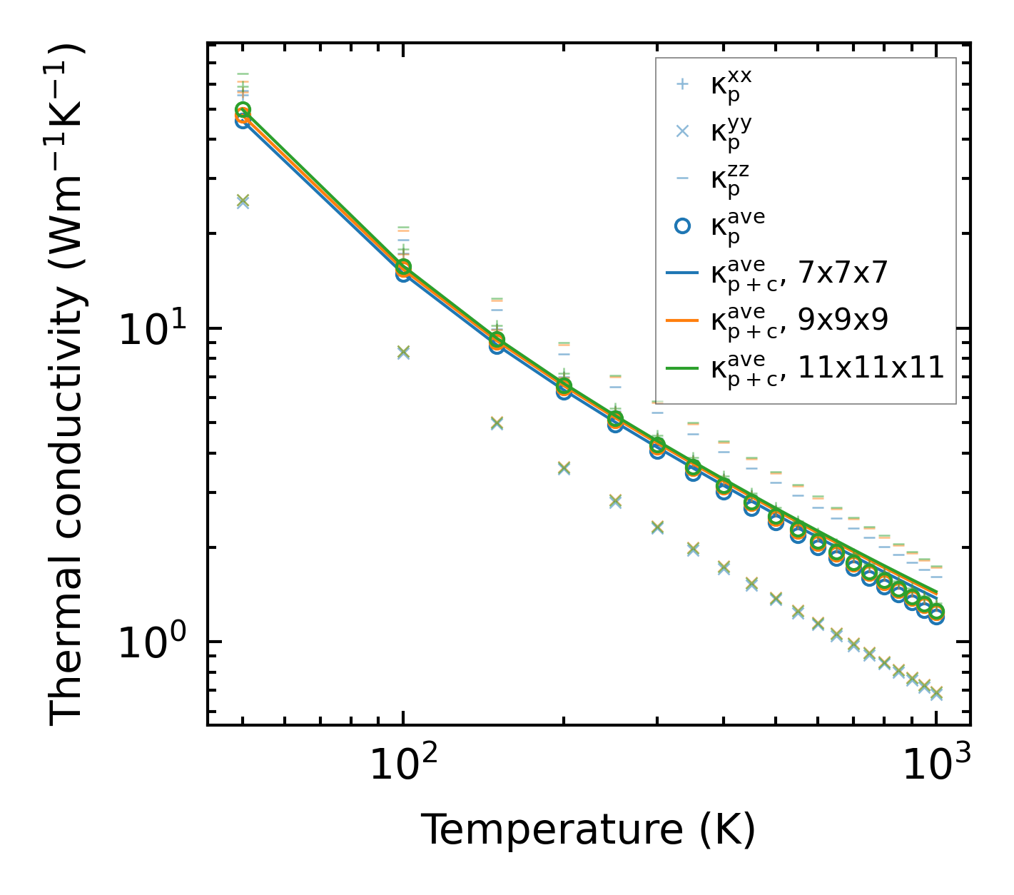
../../_images/fig_kappa4974.png

(a) Temperature-dependent lattice thermal conductivity

../../_images/fig_times11565.png

(b) Computation time